Keywords
COVID-19, lateral flow assays, mathematical modelling
COVID-19, lateral flow assays, mathematical modelling
Diagnosis has been a critical component of the global coronavirus disease 2019 (COVID-19) response1. Although molecular tests such as reverse-transcriptase polymerase chain reaction (RT-PCR) are highly sensitive2, they are costly and require training to operate. These factors have limited RT-PCR use in low-and-middle-income countries (LMICs)3. Rapid diagnostic tests (RDTs), employing lateral flow assays, offer a more affordable approach to detecting SARS-CoV-2, and have been used widely for community-level testing, as well as for self-testing in households, including in LMICs4–6. RDTs are, however, less sensitive and specific than PCR7.
In previous work8, we examined the use of RDTs in pandemic response, using modelling to compare different scenarios for their use in cities such as New Delhi, India, and Kampala, Uganda. The results of that analysis suggested that LFAs would affect transmission most efficiently if they were focused on testing symptomatic patients presenting to healthcare facilities, rather than additionally aiming to reach asymptomatic and presymptomatic cases in the community. However, a limitation of that work is that diagnostic algorithms involving LFAs were assumed to remain uniform through time, regardless of the prevalence of SARS-CoV-2. In practice, strategies that can adapt during the course of a pandemic wave – for example, switching to more simplified, rapid algorithms as prevalence increases – may provide an approach for maximising the benefit of LFAs. Here, we sought to examine such strategies using modelling, focusing on the potential impact of dynamic testing strategies during an epidemic consistent with India’s second wave of COVID-19. Although the severity of COVID-19 as a pandemic threat has diminished since 2020, these questions remain relevant for future pandemic response.
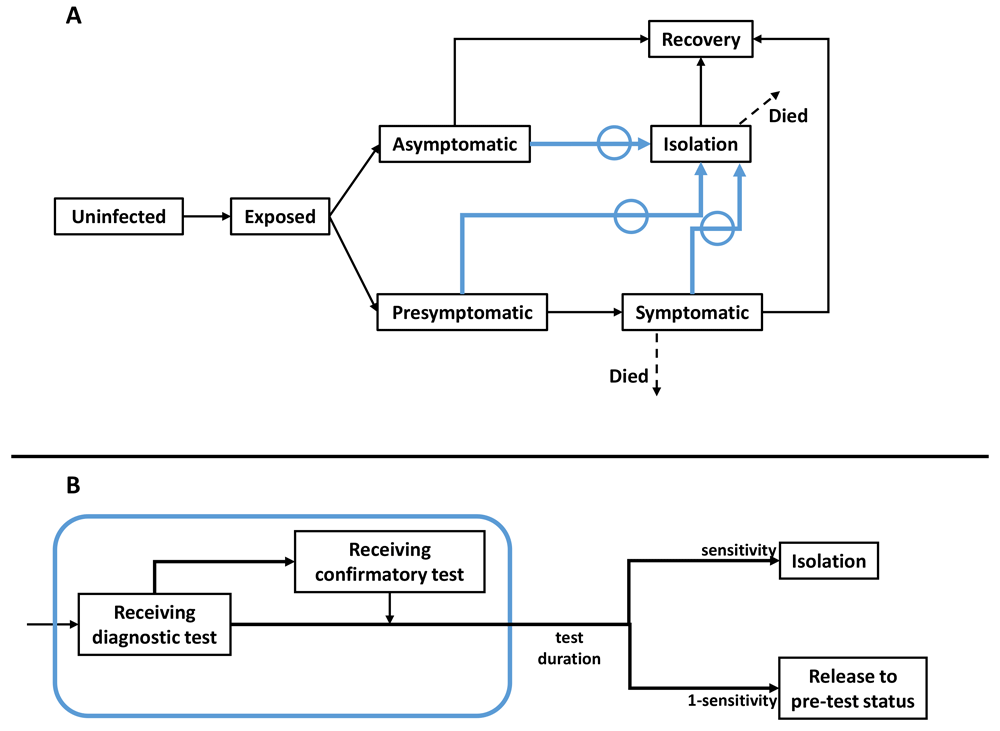
We built on a deterministic, compartmental model of a hypothetical second wave of SARS-CoV-2 transmission in New Delhi, originally developed in 8, with initial conditions and basic reproduction number similar to those relating to the delta wave in India. The overall model structure is illustrated schematically in Figure 1. Briefly, to account for age-dependent severity of infection, and to capture the population structure in New Delhi, the model incorporates three different age groups: <19 years old, 19 – 64 years old, and 65 years old and above. It also captures important features of the natural history of SARS-CoV-2 infection, including presymptomatic infection (cases prior to developing symptoms) and asymptomatic infection (cases who never develop symptoms), both of which are capable of transmission9,10. We did not model vaccination, because vaccination coverage had not yet reached substantial levels during the first wave in India11. Although the originally published model8 incorporated additional structure for delays in PCR testing, for simplicity we did not incorporate that structure in the present work. Instead, for the current analysis, we modelled challenges in the availability of PCR in LMIC settings by assuming that the delay for PCR confirmatory testing is fixed at three days (amounting to half of the infectious period) at all stages of the pandemic, and that when PCR confirmatory testing is used, isolations are deferred until LFA positive results are confirmed. As described below, we estimated the number of PCR tests that would be needed under different testing strategies, treating this indicator as a quantity to be minimised.

(A) Compartments representing natural history of SARS-CoV-2, and processes involved in a test-and-isolate intervention. This structure is stratified into three age groups: children (≤ 19 years old), adults (20 – 64 years old), and older adults (≥ 65 years old). As described in the main text, we assume that asymptomatic and pre-symptomatic individuals are infectious, but potentially to a lesser extent than symptomatic cases. Arrows in blue show isolation through testing, shown in greater detail in the bottom panel. (B) Detail of diagnostic testing. We assumed that there is no constraint on the number of LFA tests that can be performed per unit time. To reflect limits on PCR availability in LMICs in a simple way, we assumed that PCR results are only available after three days, and further that individuals are not required to self-isolate during this period.
Model parameters were specified as follows: natural history parameters were drawn from the literature, including estimates of the relative infectivity of asymptomatic/pre-symptomatic vs symptomatic infection. The rate of infectivity per symptomatic case was calibrated in order to yield a basic reproduction number, R0, of 2.5, consistent with previous work12. Finally, we drew from the literature for the sensitivity and specificity of LFAs and PCR2,3. See Table S1 in the Underlying data, for a full list of model parameters and values13. The code itself is available from GitHub and archived with Zenodo14.
We concentrated on community-level testing, which aims to use LFAs to identify infectious cases of SARS-CoV-2, regardless of symptom status, and to isolate all who test positive. Previous analysis8 illustrated that a major limitation of such a strategy is that it would lead to a prohibitive number of false-positive diagnoses: it would be critical to implement confirmatory testing, for example using PCR, following any LFA positive test results. We therefore examined whether there would be stages in a pandemic wave when the requirement to confirm positive LFA results could be lifted, in order to reduce costs and minimise any delays in the isolation of individuals with SARS-CoV-2.
The proportion of LFA results that were positive (an indicator of current disease burden that would be readily available in a public testing program, although not in at-home testing) was used to trigger switching between confirmatory testing and LFA alone in the dynamic strategies we evaluated. We determined the peak LFA positivity rate in our model of an unmitigated epidemic wave (i.e., with no isolation of infected individuals), and we defined thresholds relative to this “peak value”.
We modelled the following scenarios:
(i) A ‘low threshold’ dynamic strategy where PCR is used for confirmation of LFA-positive results as long as the proportion of LFA positive tests is less than 10% of the peak value. We assumed that, for LFA positivity rates above this threshold, all individuals testing positive on LFA would be asked to isolate without need for PCR confirmation.
(ii) A ‘medium threshold’ dynamic strategy: the same as (i), but with the LFA positivity threshold set at 50% of the peak value.
(iii) A ‘high threshold’ dynamic strategy: the same as (i), but with the LFA positivity threshold set at 90% of the peak value.
(iv) ‘LFA only’: A non-dynamic strategy where PCR confirmation is never used for LFA-positive individuals, and
(v) ‘LFA+PCR’: A non-dynamic strategy where PCR confirmation is always required for LFA-positive individuals.
The latter two scenarios were included for reference; they represent, respectively, a strategy that would create large numbers of false-positive diagnoses (strategy iv), and one that would involve maximum PCR usage (strategy v).
For each strategy we estimated the daily and cumulative incidence of symptomatic COVID as a measure of epidemiological impact, assuming that the testing regime was initiated before the onset of the pandemic wave. We also calculated two proxies for trade-offs between impact and resource requirements: number of cases averted per PCR test used, and number of cases averted per unnecessary (false-positive) isolation.
All parameters were subject to the uncertainty intervals shown in Table S1 in the supporting information. Uncertainty was estimated by using Latin Hypercube Sampling to obtain 250 samples of model parameters; identifying the value of β that yielded R0 = 2.5 for each parameter set; and simulating model projections using each of these 250 samples. Uncertainty in model outputs was calculated using 2.5th and 97.5th percentiles as the lower and upper 95% uncertainty intervals, while central estimates were obtained using the 50th percentile.
All analyses were performed in MATLAB, R2022a. An open-source alternative that may be able to perform similar functions required to repeat this study is GNU Octave.
Figure 2 shows the results of each community-level testing strategy on the hypothetical second epidemic wave of COVID-19 in India, with overall cases averted shown in Table 1. For example, an intervention testing only with LFA, with isolation of all LFA-positive individuals and no need for confirmation of positive LFA results, would avert 9.8% (95% CrI 6.5 – 13.2%) of symptomatic cases, while requiring PCR confirmation for all LFA-positive individuals would reduce this impact by about one-third, to 6% (95% CrI 4 – 8%). Each of the dynamic strategies was projected to have an epidemiological impact intermediate to these two extremes.

Curves show simulations consistent with the ‘second wave’ of COVID-19 in India, under the following testing scenarios: ‘LFA testing’ denotes the sole use of LFA for testing with no follow-up confirmation; ‘LFA+PCR’ denotes the use of PCR to confirm LFA-positive results; ‘Dynamic testing (medium threshold)’ denotes PCR confirmation of LFA-positives as long as LFA positivity results are below 50% of peak positivity in an unmitigated wave (no confirmation otherwise); and ‘low’ and ‘high’ thresholds correspond respectively to 10% and 90%. In all scenarios we assumed that a proportion 0.5% of the population is tested with LFA, at random each day, regardless of symptoms, and that all diagnosed with SARS-CoV-2 are isolated. Solid lines show central estimates, and shaded areas show 95% uncertainty intervals (for clarity, only shown illustratively in the baseline scenario).
Entries show values summarising the outcomes in Figure 2 – Figure 3.
Figure 3 shows two proxies of resource requirement, namely PCR test volume and unnecessary isolations. An LFA+PCR strategy requires the greatest number of PCR tests (green curve, left-hand panel), while also incurring the fewest unnecessary isolations (right-hand panel). On the other hand, while an LFA-only strategy naturally incurs no PCR usage, it also leads to over 5% of the population being unnecessarily isolated (red curve, right-hand panel). In both cases, dynamic strategies can mitigate these costs substantially. For example, a medium-threshold strategy, one that requires PCR confirmation only when the proportion of LFA positivity is below 50% of peak positivity in an unmitigated wave, would require a total of 1.8 million PCR tests (compared to 2.5 million for an LFA+PCR strategy), and would incur unnecessary isolations for 1.1% of the population.

The left-hand panel shows the cumulative number of PCR tests used over time, while the right-hand panel shows the cumulative number of unnecessary isolations over time (arising from false-positive diagnoses of SARS-CoV-2), as a proportion of the population.
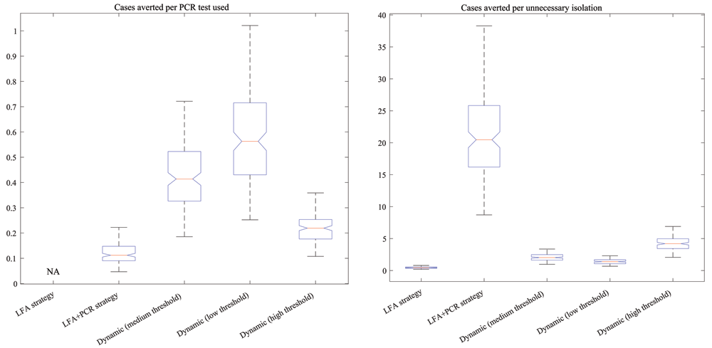
Figure 4 compares strategies in terms of the cases averted per PCR test used (left-hand panel), and cases averted per unnecessary isolation (right-hand panel). In both cases, higher values correspond to more favourable strategies. Results echo the overall trade-off shown in Figure 3: that in general, strategies that are favourable in terms of cases averted per PCR test used are less favourable in terms of cases averted per unnecessary isolation. Quantitative estimates behind these results are listed in Table 1.

As a measure of health gains for the denominator for ICER calculations, we estimated the symptomatic cases averted relative to a scenario of no community-level LFA testing. In each plot, the horizontal red line shows median estimates; the upper and lower edges of the blue polygons show 2.5th and 97.5th percentiles; and the upper and lower ‘whiskers’ show the extreme values. The left-hand panel shows ICERs in terms of cases averted per PCR (polymerase chain reaction) test used, while the right-hand plot shows them in terms of cases averted per unnecessary isolation. Strategies shown are as follows. LFA: using LFA (lateral flow assay) only, with no PCR confirmation. LFA+PCR: confirming all LFA-positive results with PCR. Dynamic: Strategies where the need for PCR confirmation of LFA-positives is lifted when LFA test positivity exceeds a given threshold, here showing ‘low’, ‘medium’ and ‘high’ thresholds as described in the main text.
In pandemic response, rapid testing at the community level might offer important opportunities to reduce transmission, but only if there are ways to mitigate false-positive results within the bounds of health system constraints. Building on previous work, our analysis illustrates that some options for doing so could be provided by dynamic strategies for the use of PCR testing for confirmation of positive LFA results. In particular, strategies that impose a threshold for LFA positivity, above which PCR confirmation of positive LFA results is no longer necessary, can offer a compromise between the large number of PCR tests required when confirming all LFA positives with PCR, and the large number of unnecessary isolations when using LFA alone (Figure 3 and Figure 4).
In any given setting, the specific choice of threshold will depend on the local conditions and constraints; in particular, a key consideration is whether PCR capacity is a more pressing constraint than the need to avoid unnecessary isolations. Where PCR capacity is tightly constrained, a more liberal threshold for removing the requirement for PCR confirmation would be favoured. By contrast, where isolation capacity is tightly constrained, this threshold should be more stringent. In order to translate these findings into an appropriate choice of threshold for any given setting, further work would need to combine the costs of PCR usage and unnecessary isolations on a common footing.
We have modelled thresholds depending on the LFA positivity rate at any given point in time. Adapting LFA strategies in response to this rate therefore requires LFA test results to be reported, at least in a representative proportion. While reporting of home-based test results is currently recommended, it is generally not done15. In future, LFAs having the capacity to report test results automatically could improve efforts to monitor the spread of infection and adapt testing strategies accordingly.
As with any modelling analysis, our work has some limitations to note. Our model assumes a simplified, homogenous population structure, whereas in reality, in the first few waves of COVID-19, the spread of SARS-CoV-2 was more extensive in urban slum populations than elsewhere in India16. We also do not model relationships between infectivity and LFA detection. While LFAs are not as sensitive as PCR, there is evidence to suggest that those cases of SARS-CoV-2 that are detectable by LFA are also the most infectious6,17,18, and we would expect such variation to increase the epidemiological impact of LFA-only strategies from that estimated here. We only evaluated dynamic strategies that changed the sequence of testing with the probability of a positive test. Other dynamic strategies could also, for example, impose a requirement for isolation while awaiting confirmatory testing, rather than removing the need for a confirmatory test. Finally, we have focused on one example of the use of LFAs and PCR tests: identifying conditions where PCR need not be used to confirm LFA positives. For future work, other possible areas relevant to transmission include the use of LFAs for surveillance during periods of low infection activity, and switching to PCR confirmation of LFA negatives during the epidemic peak. In all cases, limiting the requirement for PCR testing will be an important consideration for LMICs.
In conclusion, rapid tests can play an important role in reducing opportunities for transmission, but their use must be planned carefully in order to avoid undue adverse impacts, either on the population or on the healthcare system. Mathematical modelling can be a helpful tool for weighing these trade-offs, not only for COVID-19, but also for future pandemics.
Zenodo: Adaptive strategies for the deployment of rapid diagnostic tests for COVID-19: a modelling study. https://doi.org/10.5281/zenodo.740117113.
This project contains the following information:
Data are available under the terms of the Creative Commons Attribution 4.0 International license (CC-BY 4.0).
Source code available from: https://github.com/lmcilloni/covid-RDT
Archived source code at time of publication: https://doi.org/10.5281/zenodo.741026214
License: GNU General Public License v3.0
| Views | Downloads | |
|---|---|---|
| Gates Open Research | - | - |
|
PubMed Central
Data from PMC are received and updated monthly.
|
- | - |
Is the work clearly and accurately presented and does it cite the current literature?
Partly
Is the study design appropriate and is the work technically sound?
Yes
Are sufficient details of methods and analysis provided to allow replication by others?
Yes
If applicable, is the statistical analysis and its interpretation appropriate?
Yes
Are all the source data underlying the results available to ensure full reproducibility?
Yes
Are the conclusions drawn adequately supported by the results?
Partly
Competing Interests: No competing interests were disclosed.
Reviewer Expertise: Clinical Pathology, COVID-19, Clinical Biochemistry, Immunology
Is the work clearly and accurately presented and does it cite the current literature?
Partly
Is the study design appropriate and is the work technically sound?
Yes
Are sufficient details of methods and analysis provided to allow replication by others?
Yes
If applicable, is the statistical analysis and its interpretation appropriate?
Yes
Are all the source data underlying the results available to ensure full reproducibility?
Yes
Are the conclusions drawn adequately supported by the results?
Yes
Competing Interests: No competing interests were disclosed.
Reviewer Expertise: infectious diseases epidemiology, diagnostics
Alongside their report, reviewers assign a status to the article:
| Invited Reviewers | |||
|---|---|---|---|
| 1 | 2 | 3 | |
|
Version 2 (revision) 27 May 25 |
read | read | |
|
Version 1 27 Jan 23 |
read | read | |
Provide sufficient details of any financial or non-financial competing interests to enable users to assess whether your comments might lead a reasonable person to question your impartiality. Consider the following examples, but note that this is not an exhaustive list:
Sign up for content alerts and receive a weekly or monthly email with all newly published articles
Register with Gates Open Research
Already registered? Sign in
If you are a previous or current Gates grant holder, sign up for information about developments, publishing and publications from Gates Open Research.
We'll keep you updated on any major new updates to Gates Open Research
The email address should be the one you originally registered with F1000.
You registered with F1000 via Google, so we cannot reset your password.
To sign in, please click here.
If you still need help with your Google account password, please click here.
You registered with F1000 via Facebook, so we cannot reset your password.
To sign in, please click here.
If you still need help with your Facebook account password, please click here.
If your email address is registered with us, we will email you instructions to reset your password.
If you think you should have received this email but it has not arrived, please check your spam filters and/or contact for further assistance.
Comments on this article Comments (0)