Keywords
Sweetpotato, yield, continuous storage root formation and bulking, growth pattern, phenotypic variation
Sweetpotato, yield, continuous storage root formation and bulking, growth pattern, phenotypic variation
We would like to thank the reviewers for their thorough review of our manuscript. They raised concerns and their input has been very helpful for improving the manuscript. We generally agree with their comments and we have revised the manuscript as recommended and indicated exceptions giving reasons. We addressed the concerns raised by Professor Arthur Villordon and Professor Hussein Shimelis and a detailed report of responses is provided.
Main differences between this version and the previous version are:
1) We have revised the last sentence on page 4, paragraph 2 that was confusing the two different processes, "storage root formation" and "continuous storage root formation and bulking". We included most of the references suggested by reviewer 1 and also provided original references as requested.
2) We have revised the scale to address the queries raised by Prof. Villordon and the revision does not affect the data.
3) We added the missing original reference and a missing acronym on page 4 and the sentence was corrected to read: It is reported that the onset of storage root initiation can be observed to occur as early as 7 to 13 days after planting (DAP) (Du Plooy, 1989) and the total storage root numbers vary from 30 to 112 DAP depending on the genotype and the environmental conditions under which they are grown (Wilson & Lowe. 1973; Yanfu et al., 1989; Belehu et al.,2004).
4) We included cumulative data in relevant figures and we discussed their implication and reflected them in the text. In the conclusion, we included a text to highlight the advantage of CSRFAB over the DSCRAB ones.
We hope that the changes we have made as suggested by the reviewers have improved the quality of the manuscript, and any further suggestions that the reviewers may have are welcome.
See the authors' detailed response to the review by Alfonso del Rio
Sweetpotato (Ipomoea batatas (L.) Lam, family Convolvulaceae.) is one of the most important food crops worldwide, with approximately 106 million tons produced in almost 120 countries from an area of about 8 million ha and an average global yield of 11.1 tons/ha (FAO, 2016). Asia is the world’s largest sweetpotato producing continent, with 79 million tons, followed by Africa (FAOstat, 2016). About 75% of this global production is from China alone. A total of 21.3 million tons is produced in Africa, with 48% from the Great Lakes region. In East Africa, the crop is the second most important root crop after cassava and has played an important role as a famine-relief crop during its long history and has recently been reevaluated as a health-promoting food (Low et al., 2017). Uganda ranks as the fourth largest sweetpotato producer in the world after China, Nigeria and Tanzania, with a production of 2.1 million t. In Africa, Uganda is ranked third after Nigeria and Tanzania. Sweetpotato is one of the main staple crops in the food systems of Uganda, Rwanda, and Burundi with a per capita consumption of 50.9, 80.1 and 57.0 kg, respectively (Table 1).
Source: FAOstat, 2016
On average and across the 30-year period, the population across East Africa increased by two-and-half-fold while sweetpotato production increased by two-fold. This trend resulted in a decrease in per capita production from 86 to 56 kg per person. Statistics in general underestimate production in most annual plants since not all crop production is recorded. Usually, only the main planting season is recorded even though crops are grown over two to three growing seasons per year (Bararyenya et al., 2018a)). The most noticeable production increase took place in Tanzania with more than ten-fold increase of tonnage following an almost two-fold increase in growing area and almost four-fold increase in yields. The highest productivity is recorded in Kenya, with more than 17 t/ha/yr, followed by Tanzania (12.5 t/ha/yr). In other East African countries, productivity has more or less stagnated. The yield increase in the region over the 30-year period can be attributed to breeding and release of improved varieties by national breeding programs, and to the introduction of new varieties mainly, by the International Potato Center (CIP). The increase in yield can also be explained by the importance and recent interest in sweetpotato as a food and nutritious crop compared to the early 1990s when it was hardly known.
Despite the giant strides made through breeding and release of 27 high yielding and disease resistant varieties (Mwanga et al., 2016), Uganda has over the last 30 years consistently reported extremely low yields of 4 t/ha (Table 1) compared to the achievable yields of over 40 t/ha under improved conditions. The low yield could be attributed partly to the growing of low yielding and highly disease susceptible landraces by small-scale farmers. Abidin (2004) reported high farmer preference for their landraces, while Sseruwu (2012) associated this preference with lack of farmer desired attributes in the newly released varieties. In Uganda and other East African countries, piecemeal harvesting, characterized by repeated harvesting from the same sweetpotato plants on a mound, ridge or other seedbed over time, is the predominant mode of harvesting among subsistence and commercial sweetpotato farmers. Importantly, this practice is also known in other root and tuber crops including potato, cassava and yam. Recently, Tadesse et al. (2017) reported that piecemeal harvesting was the dominant practice among poor potato farmers (60% of respondents) in Ethiopia, whereas the majority of the wealthy and medium-wealthy farmers combined piecemeal harvesting with harvesting all at once. Farmers harvest enough for one or few meal(s), or enough for one market. This is because these crops are very difficult to store, and storage for fresh sweetpotato produce is virtually non-existent. Therefore, the practice allows for in-ground storability and market partitioning during the cropping season. It also creates room for new storage roots to initiate and enlarge for the next harvest. However, breeding and selection have been based on a single harvest and no breeding research has tried to understand the genetics underlying traits associated with these common practices in sweetpotato farming systems. CSRFAB in sweetpotato is associated with the perennial nature of the crop and allows for longer photosynthetic activity resulting from persistent canopy development leading to increased plant productivity. This is supported in the case of practices in Uganda by the fact that more than 90% (n = 350) of the farmers have no knowledge of the maturity periods of the local sweetpotato varieties they grow (Bashaasha et al., 1995).
Maturity periods in sweetpotato vary with genotype and the environmental conditions under which they are grown. Common external signs of maturity such as senescing and yellowing of leaves do not apply to all varieties. In addition, storage roots do not all mature at the same time, while the storage root formation period is highly variable among genotypes (Belehu, 2003; Belehu et al. 2004; Lowe & Wilson, 1974; Wilson & Low, 1973; Yanfu et al., 1989). It is reported that the onset of storage root initiation can occur as early as 7 to 13 days after planting (DAP) (Du Plooy, 1989), and the total storage root number to form varies from 30 to 112 DAP depending on the genotype and the environmental conditions under which they are grown (Yanfu et al., 1989). Furthermore, sweetpotato storage roots can undergo periods of arrested growth during unfavorable conditions and then continue active growth upon favorable conditions (Ravi et al., 2009). There are many reported studies on the effects of storage root formation and bulking under controlled conditions on sweetpotato yields (Gajanayake & Reddy, 2016; Meyers et al., 2013; Solis et al., 2014; Villordon, 2015) and under field experiments (Agata, 1982; Belehu et al., 2004; Du Plooy, 1989; Enyi, 1977; Gajanayake et al., 2014; Lowe & Wilson, 1974; Wilson & Lowe,1973; Wilson, 1982; Yanfu et al., 1989). However, most of the studies were undertaken on single season harvest basis, and no study attempted to understand the continuous storage root formation and bulking (CSRFAB) patterns overtime under field conditions to focus on improving the trait through breeding.
Knowledge of the growth patterns of storage root formation and bulking traits is critical for crop yield improvement, crop management, and specifically for timing fertilizer application and irrigation. Sweetpotato has been for centuries selected for its starchy roots on seasonal basis and may have been progressively losing its perennial feature. It is well known in other root and tuber crops that yields are a result of the rate and duration of the period of tuberization, which in turn depends on longevity of the leaves, the beginning of storage root formation, and duration of the growth cycle. In almost all experiments, the end time of storage root formation was not defined or properly assessed; number of storage roots was infrequently recorded and maximum number of storage roots was never established. The effect of longer vegetative maintenance periods of green leaves observed in some genotypes has never been investigated in sweetpotato, but it is reported to influence greater productivity in potato (Çalişkan et al., 2007). Despite these deficiencies, the storage root formation and bulking patterns are widely regarded as a key developmental stage in the crop’s life, having profound implications for subsequent growth and development. It was therefore hypothesized that longevity of green foliage due to genetic properties in CSRFAB sweetpotato genotypes is greater than in discontinuous storage formation and bulking (DSRFAB) genotypes. Consequently, the extended period of green leaves for CSRFAB genotypes will impact storage root formation and bulking leading to a significant increase in yield. This expected variation in yield and yield components is mainly due to longer duration of photosynthetic activity and the great availability of photo-synthesizing material, mostly its green leaves (Paltridge et al., 1984). Thus, the amount of change in the mean value of expected responses associated with a unit increase in growth time, holding all other variables constant, varies with increased growth time periods of some sweetpotato cultivars and produces higher amounts of storage root number and weight. To really understand the evolution of a trait, we need to know whether any variability in that trait can be assigned to genetic effects. If so, and if there is fitness variation associated with the trait; it will be subject to natural selection (Croston et al., 2015). This study investigated genetic variability of CSRFAB and, characterized growth patterns at different development stages to identify possible CSRFAB sweetpotato genotypes in the germplasm collection in Uganda for use as parents in improvement of the trait.
Plant materials. This study utilized 130 genotypes currently used for population improvement in Uganda for various breeding purposes and were screened for CSRFAB traits (Table 2). The 130 cultivars included two distinct sweetpotato gene pool populations (Uganda A and Uganda B) that were formed to reflect similarity within and divergence between the populations based on 31 simple sequence repeat (SSR) markers (David et al., 2018). The genotypes are maintained by the International Potato Center (CIP) at the National Crops Resources Research Institute (NaCRRI) at Namulonge in Uganda.
Experimental sites and duration of the study. Grüneberg et al. (2005) identified Uganda as a mega-environment for sweetpotato selection for East African countries, and a breeding platform where crossings and selection in early and later breeding stages were conducted. The results from such environments are extended to all East African countries with one or two more season evaluations for confirmation. Two locations, NaCRRI-Namulonge and National Semi-Arid Resources Research Institute (NaSARRI-Serere) were therefore selected to host the trials for screening potential CSRFAB genotypes adapted to the East African agroecologies. The trials were planted on September 22, 2016 and September 29, 2016, respectively at Namulonge and Serere and harvested from January through April 2017 for the first season (2016B). In the second season (2017A), trials were planted on March 10, 2017 and March 29, 2017, respectively, at Namulonge and Serere and harvested from June to September 2017. The altitude of the sites was around 1,150 meters above sea level with an average day temperature of 22.2°C. Crops were not irrigated and often suffered from low rainfall 4 months after planting. Namulonge is characterized by a tropical rain forest zone with a bimodal rainfall average of 1,270 mm annually and high sweetpotato virus disease (SPVD) pressure, while Serere is in the tall grassland savanna zone with low rainfall and high weevil population (Table 3).
We used repeated measurements (Hesser, 2015) on genotypes in a randomized complete block design in 2 locations (Namulonge and Serere) for 2 seasons. The experimental plots consisted of two rows of 20 plants (4 replications of five plants, but for ease of data collection and analysis, the samples were collected as two replications). Plant density was 1 m between rows and 0.3 m between plants within rows. Four measurement points (Causton, 1994) were used for flexibility and precision of analysis. The genotypes were sequentially and destructively harvested at 3, 4, 5 and 6 months after planting (MAP) to allow identification of storage root formation and bulking patterns. During each harvest period, four plants were uprooted for above and below ground part data collection. Each row was bordered by two sweetpotato plants at the extreme ends. The plots were kept weed free and no fertilizer or other agro-chemicals were applied.
Growth and development measurements. Traits that are known to characterize growth in sweetpotato storage roots were selected. These included: (i) number of harvested plants (NPH), allowing calculation of average values, (ii) total storage root number (SRN), (iii) Total root weight (TRW) measured with a round spring balance scale (Hanson, 8 in x 8 in x 3 in), was used to calculate yield as tons per hectare, (iv) commercial and noncommercial storage root number (CRN & NCRN, respectively) and commercial and noncommercial storage root weights (CRW & NCRW, respectively), allowing the estimation of storage root formation, bulking rate, (v) vine weight (VW), (vi) root system weight (RSW) used to calculate biomass yield (BMY), and (vii) harvest index (HI). Senescence (SEN) was estimated using a scale of 1 to 9, where 1 = no senescence, 9 = severe senescence marked by death/drying (CIP/AVRDC/IPGR, 1991).
Development of a scale for continuous storage root formation and bulking (CSRFAB). To capture the possible overtime initiation and bulking in sweetpotato, we developed a rating scale of 1 to 9. The scale rates the expression of CSRFAB trait for an individual genotype. CSRFAB scores were therefore developed throughout the 2016B growing season. Detailed observation of storage root formation and bulking over 6 months provided comprehensive knowledge of the development of a scale for measuring changes in the CSRFAB trait. The scale was set to measure the changes in root formation and bulking of a given individual genotype. The change in scores would reflect the potential of roots to bulk into storage roots (fleshy or lignified), newly initiated storage roots, their status of bulking and their maturity levels. Paired numbers were skipped in determining which unpaired scores were too close to each other. Thus, a higher score is indicative of greater CSRFAB expression for the genotype. Figure 1 shows CSRFAB and the scoring scale.

Growth model analysis. Growth models were estimated using a multilevel, mixed model framework described by Payne (2009) in GenStat 18th Edition. Data was re-arranged to have all the four-time point observations in a single variate, with accompanying factors for location, season, harvest time, genotype and replication. All factors were duplicated for each of the harvest times, and a factor, harvest time, was set up to record the number of the stacked columns corresponding to each row of the new sheet. Variates were calculated to hold the harvest time and the square of harvest time using “calculate menu” in Genstat spread menu. Each of the 130 genotypes was maximally compared (4160 times) with the other genotypes in a model with two replications, four harvest times, two seasons and two locations.
To better understand the details in the storage root development patterns across the four harvest times; we included linear and quadratic variates in the model to detect trends, followed by HT as a factor variate to detect lack of fit. We analyzed piecewise, storage root growth patterns in different phases of the trial and selected individuals to represent different growth pattern characteristics. Means were plotted to visualize the growth patterns using Genstat 18th edition
Restricted maximum likelihood (REML) variance components analysis of the phenotypic data was performed using the following general linear mixed model;
Where
Yijklm is the observed overtime response of genotypes across location and season.
μ, is the overall mean, Si is the effect of the ith season, Lj is the effect of the jth location, SLRijk is the effect of the interaction between the ith season in the jth location and the kth replication, is the effect of linear term l in polynomial model, is the effect of the quadratic term q in polynomial model, is the random effect of the cubic term in the polynomial model, SHil is the interaction between season and harvest time, LHil is the random effect of interaction between jth location and hth harvest time, SLHiil is the effect of the interaction between the ith season and the jth location at the mth harvest time, Em is the effect of the mth genotype, is the effect of interaction between mth genotype and lth linear term, is the effect of the interaction between ith genotype and qth quadratic term in the polynomial model, is the effect of interaction between ith genotype and cth cubic term in the polynomial model, SEim is the effect of interaction between season and genotype, LEjm is the effect of interaction between location and genotype, SLEijm is the random effect of the interaction between season, location and genotype. €SEHiml, is the effect of the interaction between season, harvest time and genotypes, LEHjml is the random effect of the interaction between location, harvest time and harvest time, SLEHijml is the interaction season, location and harvest time, Ɛijklcqm is the error associated with all factors involved in the polynomial model.
We recalculated the F-test denominator for genotypes tested in different locations and seasons (Bararyenya et al., 2018b). This was relevant to factors other than genotypes that were tested across two environmental factors that should be considered random. The choice of the F-test denominator was guided by whether a particular variance component had an estimated value greater than 0. This could be seen in the relative sizes of the mean squares of error and the three environmental interactions with genotypes. If all three GxE interaction variance components (GxLxS, GxL, GxS) were positive (greater than 0), then Satterthwaite’s formula was appropriate for determining the appropriate MS to use as the T-test denominator for genotypes.
Satterthwaite’s formula for the “composite” F-test denominator for genotypes is as shown:
Satterthwaite-type approximation of mean squares (MS) and degrees of freedom (df).
Where MS = mean square, G = genotype, S = season, L = location, df = degree of freedom, Den df = denominator degrees of freedom.
In calculating the F-test, there is no problem using the fractional effective Den df obtained by the formula above (Satterthwaite, 1946; Snedecor & Cochran, 1967). The “Fdist” and “Finv” functions in Excel handle fractional df without a problem.
We used a linear mixed model to decompose phenotypic variance (P) into different components: genetic (G) and environmental (E) sources, and their interaction effects (GxE). For most of the traits, their three-way interactions were significant which means in reality that at least one of the 2-way interactions changes across the third factor. Thus, the interaction between season, location and replication (SLR) was highly significant across all the parameters. This is because the replication differences were large in some environments as previously observed by Tumwegamire et al. (2016). The variability in replication for an experiment involving clonal crops can easily occur. The main effects for season and location were not significant, as were their interactions. The interaction between season, location and harvest time (SLH) was highly significant (P<0.001) for all the parameters in this study, resulting in non-significance of SL, SH and LH interactions. This implies that harvest time effect differs depending on the level of the location and season on storage root yield (SRY), CSRFAB, storage root diameter (SRD), storage root length (SRL), CRW, CRN, HI and SEN (Table 4). These results require further investigation to identify the level of influence (Table 4). The average effect of linear, quadratic and cubic predictors was not significant due to the large mean square of LH. For all the traits in this study, the interaction between season, location and genotype (SLE) was highly significant (P<0.001). This indicates that there was wide variability of genotype across location and season and this wide variability can be used for sweetpotato yield improvement in a specific location. However, there is a need to study the stability across locations and seasons for easy selection of the CSRFAB trait.
| SOV | d.f. | CSRFAB | SRY | SRNO | VY | SRD | SRL | CRW | CRN | HI | SEN |
|---|---|---|---|---|---|---|---|---|---|---|---|
| S | 1 | 1223.56ns | 2263.89ns | 15284.37ns | 73832.70ns | 2821.05ns | 89273.20ns | 125.34ns | 4381.50ns | 383.10ns | 21.90ns |
| L | 1 | 243.40ns | 415.52ns | 1609.44ns | 77317.50ns | 1246.97ns | 16297.00ns | 42.99ns | 0.024ns | 22744.50ns | 7.57ns |
| SL | 1 | 0.037ns | 906.99ns | 249.05ns | 28398.30* | 4147.13ns | 9217.60ns | 92.14* | 281.46ns | 1855.40ns | 9.24ns |
| SLR | 4 | 13.14*** | 595.92*** | 147.08*** | 3278.10*** | 1021.48*** | 4815.60*** | 7.57*** | 42.20*** | 1235.5*** | 1.65*** |
| HLin | 1 | 134.56ns | 5039.56ns | 661.59ns | 3801.60ns | 276.73ns | 2692.20ns | 176.72* | 107.95ns | 22840.60ns | 0.01ns |
| HQ | 1 | 0.037ns | 310.48ns | 43.89ns | 1670.50ns | 52.76ns | 34.80ns | 14.44ns | 45.44ns | 60.00ns | 6.35ns |
| HC | 1 | 33.212ns | 270.43ns | 35.27ns | 204.70ns | 0.22ns | 1170.50ns | 7.39ns | 4.39ns | 4655.80ns | 8.29ns |
| SH | 3 | 21.58ns | 172.93ns | 203.05ns | 13015.70ns | 100.56ns | 1998.90ns | 13.28ns | 11.99ns | 5152.80ns | 6.14ns |
| LH | 3 | 61.12ns | 1113.99ns | 1062.79ns | 1937.90ns | 4904.45ns | 34388.40ns | 3.83ns | 847.82ns | 7276.10ns | 3.55ns |
| SLH | 3 | 27.55*** | 242.29** | 561.79*** | 1626.00** | 728.56*** | 6705.80*** | 17.01*** | 134.57*** | 111.8*** | 2.90*** |
| E | 129 | 12.26*** | 262.85ns | 246.97*** | 1370.60* | 503.38*** | 3801.90*** | 4.23*** | 103.32*** | 2569.60*** | 2.13*** |
| HLinE | 129 | 2.73*** | 71.90ns | 39.94*** | 613.30*** | 96.35* | 522.20** | 1.24* | 19.72*** | 269.70ns | 1.13ns |
| HQ.E | 129 | 0.99ns | 38.08ns | 11.87ns | 215.40ns | 39.75ns | 141.40ns | 0.81ns | 7.32ns | 154.80ns | 0.46ns |
| HC.E | 129 | 1.40ns | 46.53ns | 17.32ns | 329.70ns | 38.37ns | 192.40ns | 0.69ns | 7.78ns | 183.10ns | 0.41ns |
| SE | 129 | 4.98*** | 175.22ns | 78.07*** | 1089.30ns | 194.50** | 1451.00* | 1.94** | 36.73** | 1115.90*** | 1.35* |
| L.E | 128 | 4.02* | 177.72ns | 81.34*** | 988.80ns | 189.38** | 1263.80ns | 1.95** | 33.26* | 1009.30*** | 0.97*** |
| SLE | 126 | 2.90*** | 119.02ns | 45.69*** | 995.00*** | 112.38*** | 1029.10*** | 1.25*** | 24.18*** | 807.70*** | 0.89*** |
| SHE | 385 | 1.24ns | 50.31* | 15.50ns | 399.80ns | 54.21ns | 289.10ns | 0.74ns | 7.79ns | 202.40ns | 0.77*** |
| LHE | 377 | 1.19ns | 57.48* | 17.24ns | 367.00ns | 72.13ns | 364.60* | 0.93ns | 8.67ns | 254.50*** | 0.50ns |
| SLHE | 331 | 1.44ns | 52.67ns | 19.74* | 363.80ns | 59.75ns | 295.50ns | 0.82*** | 7.84ns | 177.40ns | 0.31ns |
| Residual | 1983 | 1.36 | 51.05 | 16.32 | 412.50 | 52.54 | 339.60 | 0.45 | 7.35 | 193.4ns | 0.46 |
Note: SOV = source of variation; df: degrees of freedom; CSRFAB = continuous storage root formation and bulking (scored on a scale of 1 to 9, where 1 = no storage initiation and no bulking, and 9 = high storage root initiation & bulking); SRY = storage root yield; SRNO = storage root number per plant; VY = vine yield; SRD = storage root diameter; SRL = storage root length; CRW = commercial storage root weight; CRN = commercial storage root number; HI = harvest index; SEN: senescence (scored on a scale of 1 to 9, where 1 = no senescence, 9 = severe senescence, and death/drying); S = Season; L = location; H = harvest time; E = genotype; HLin: Harvest time linear; HQ = harvest time squared; HC = harvest time cubic (ie. lack-of-fit); SL = season by location interaction; SLR = season by location by replication interaction; SH = season by harvest time interaction; LH = location by harvest time interaction; SLH = season by location by harvest time interaction; SE = season by genotype interaction; L.E = location by genotype interaction; SLE = season by location by genotype interaction; SHE = season by harvest time by genotype interaction; LHE = location by harvest time by genotype interaction; SLHE = season by location by harvest time by genotype; * = significant at 0.05; ** = significant at 0.01; *** = significant at 0.001; ns= non-significant.
This can be explained by the large population effect combined with sample size. The main effect for genotype was highly significant for all the parameters except SRY providing evidence for presence of genetic variability for CSRFAB trait improvement. While the main effects for L and S were not significant, their interactions (SE and LE) with genotype showed strong effects on all parameters except SRY. SE and LE interactions with a linear predictor was significant across all the parameters except SRY and SEN, so any variation in genotype across location and season is linearly explained. In other words, the performance of genotype increases linearly with time. However, the interaction between entry (genotype) and quadratic predictor as well as cubic predictor was not significant, indicating that with 1 df, HC cannot differentiate cubic effects from higher-order effects. This implies that the overall genotype performance increases overtime in any of the parameters in this study is linearly explained. The two-way interaction with genotype (SE and LE) was significant for CSRFAB, SRNO, SRD, CRW, CRN, and SEN. For SE and LE, the F-values are not large, but with many degrees of freedom, they are significant. None of the time predictors alone was significant except for the CRW, however, the overtime means show a pattern that is stationary from 90 DAP to 120 DAP, followed by a slight overall increase from 120 DAP to 150 DAP. The late phase on average decreased. In summary, one can identify three growth patterns, including an early increasing linear growth, a stationary growth and a late increase then decrease growth pattern. The observation of derived overall means (Table 5) from linear and quadratic models suggests the existence of determinate and extended growth maturity stages among genotypes. High variation (P<0.001) of storage root formation and bulking was observed using the 1 to 9 scoring scale for CSRFAB. This suggests that the scale can be used to differentiate and evaluate the CSRFAB trait among sweetpotato genotypes.
Note. H: broad sense heritability across location and season; H1: within environment broad sense heritability across 2 seasons for NaCRRI; H2: within environment broad sense heritability across 2 seasons for NaSARRI; σ2R: residual variance; σ2G: genotypic variance; σ2p: phenotypic variance; σ2SLG: variance due to season by location by genotype interaction; σ2LG: variance due to location by genotype interaction; σ2SG: variance due to season by genotype interaction; σ2GxE: genetic by environmental variance; SRNO: storage root number per plant; SRY: storage root yield; VY: vine yield; SRDIA: storage root diameter; SRLG: storage root length; CRW: commercial root weight: CRN: commercial root number; VW; vine weight; CSRFAB: continuous storage root formation and bulking; SEN: senescence
Variance component analysis and heritability estimates of selected sweetpotato growth traits in a nonlinear model structure. The genotypic variance among the nine traits associated with CSRFAB varied from 0.9 (CRW) to 7.7 (SRNO). Genotypic variance was high for SRNO (7.7), CRN (5.0) and CRW (5.0) (Table 5). The overall contribution of the GxE variance was always high compared to the genetic variance alone. The error variance was also high compared to other variance components. This can be partly explained by the population size, the genotypic variability within the population and the sample size. The phenotypic variance was high for VY (449.8), SRL (378.5) and SRY (84.6) and varied from 2.4 (CSRFAB) to 449.8 (VY). The residual variance was extremely high for VY (412.5) and SRL (339.6). These two particular traits are influenced by continuous growth. While some genotypes continue to increase biomass weight, others die by senescence, likewise for vine length. The error and the GxE variances for CSRFAB are not big compared to its genetic variance. This implies that the scale used to measure the trait is precise and the trait is not influenced much by the environment. The overall broad sense heritability for each trait was not high. This can also be explained by the population size, the variability within the genotypes used and the overall sample size. However, heritability was relatively high for SRNO (67.2%) and CSRFAB (50.5%). The low residual variance and high heritability observed for CSRFAB imply that the CSRFAB trait in this study was not greatly influenced by environment and the scale used to measure the trait is precise.
We performed a harvest basis analysis and calculated the corresponding heritability for each trait to study the dynamics of breeding values across harvest times. We focused on the traits that can affect the final yield and we compared the dynamic genetic variances and heritability of traits. Thus, the genotypic variances among seven main traits associated with CSRFAB varied from 0 to 72.46 (Table 6). Genotypic variance was high for HI at 120 DAP (72.46) and VY at 180 DAP (59.91) (Table 6). Zero variance was recorded for VY (120 DAP), HI (150 DAP), SEN (180 DAP) and weevils (180 DAP). The zero (or negative) variance components could be due to an artifact of the optimization algorithm that includes a non-negative constraint; a negative variance component could also represent competition effects between adjacent plots in the same block in the field. These results imply that there is no significant change in VY, HI, SEN and weevil damage within the population for the respective growth periods. Heritability is the proportion of variance in a phenotypic trait that is accounted for by genetic variance. Therefore, these results affected the value of heritability in the respective traits at the same harvest periods (varied from 0 to 67%). The 0% heritability implies that the effect of the traits is moving to fixation, that is, its frequency in the population is close to 100%. If we score the effect of the allele (s) regulating the trait having no heritability in the population, the result would mean in genetic terms, that the allele frequency in the population is 100%, therefore the genetic variance at the loci of these genes is zero, so any variance in the corresponding phenotypic traits cannot be attributed to the non-existent genetic variance. These results need further investigation especially in the case of weevil resistance mechanisms as no significant increase in weevil infestation was observed in late harvest (Bararyenya et al., 2018b). The rate in storage root bulking resulting in the available high green biomass may compete with weevil infestation. Broad sense heritability was relatively high for CSFRAB (50.5%) compared to other yield component traits indicating a better yield prediction using the scale.
We found temporal dynamics of genotypic influence on overall trait development (Table 6). In the early growth phase, genotypic variance was mostly low. As plants grew, genotypic factors became in general more important. The increasing genetic effect was observed up to about 120 DAP and decreased thereafter. After 120 DAP, the genetic effect became relatively less important. This can be partly explained by the drought stress which became more important 4 months after planting (MAP). Although less obvious, the opposite pattern was seen in the growth recovery phase (after 5 MAP), likely due to growth resumption resulting in the decline in overall phenotypic differences between CSRFAB and DCSRFAB plants. The investigated highly correlated traits with CSRFAB showed dynamic changes in heritability during the entire plant growth stage (Table 6). SRNO and CSRFAB showed similar patterns of heritability over time. We found that heritability of SRNO and CSRFAB increased in early growth stages and then decreased during drought stress, usually occurring between two consecutive rainy seasons and then increased thereafter during the growth recovery period occurring with the onset of the rainy season. These results are supported by Tuberosa (2012); quantitative traits reflecting the performance of crops under drought conditions tend to have low to modest heritability (Table 6).
We have proposed in this study a method that can be used to estimate changes (Figure 2 to Figure 5) in the CSRFAB trait and therefore estimate the potential maximum yield of a sweetpotato genotype. We characterized in this study growth patterns associated with CSRFAB in sweetpotato and compared the accuracy of CSRFAB scores and the classic method used to measure growth change overtime (compared yield change overtime). The scoring method developed in this study accurately measured changes in the CSRFAB trait. This is supported by its low residual variance (1.4) compared to SRN (16.3) and SRY (51.1) (Table 4) and its high broad sense heritability of 50.5% compared with heritability of SRN (67.2%) and yield (11.1%) (Table 5). The within environment heritability, H1 and H2, are high for all traits compared to across environment heritability, indicating the consistency of the measurement of the variable. The high GxE variance components indicate actual differences in the growth pattern responses of the genotypes across environments. The within environment effects reduce environmental variation to near zero implying that nearly all phenotypes, variation associated with environmental effect will be eliminated, and the only variation left will be mostly associated with genetic differences. Two types of growth patterns were identified according to the lifetime of sweetpotato genotypes. The first type which has determinate storage root formation and bulking is characterized by a rapid and short vegetative growth period followed by a senescence period until the leaves die off. This period is also characterized by a quick maximum yield obtained about 90 to 120 DAP (Figure 2) for most DCSRFAB genotypes. Respective CSRFAB scores for the same genotypes declined overtime due to lack of new root formation and similar level of bulking for mature storage roots (Figure 3). Changes between successive harvest times were generally negative for DSRFAB genotypes. The cumulative yield changes, as were the cumulative score changes of DCSRFAB genotypes were therefore lower than the respective maximum single harvest yields and the rate of CSRFAB decreases in late stages. The second type of growth is characterized by a prolonged vegetative growth and a late switch-over time to reproductive phase (Figure 3 and Figure 5). The cumulative yield changes over time, as were as the cumulative score changes, of CSRFAB genotypes displayed similar results with the last harvest (180 DAP) confirming the accuracy of the scale to predict yield changes over time. The change responses were positive for CSRFAB genotypes and the cumulative responses increased overtime (Figure 4) for yield and the increase was not significant (Figure 5) for the CSRFAB scores suggesting a possibility of predicting CSRFAB genotypes responses from early growth stages. During this period the yield increase starts later and increases drastically after 150 DAP (Figure 4) for most CSRFAB genotypes. Respective CSRFAB scores of the same genotypes did not change overtime due to continuous root formation and bulking (Figure 5) suggesting the ability of the scoring scale to predict CSRFAB genotypes at early growth stages. This period increased drastically yields of CSRFAB genotypes, however, the maximum yields were not observed in this trial due to persistent vegetative growth. According to Paltridge & Denholm (1974) the variation in yield observed may be due to the variation in their actual rates of dry matter production and the individual switchover time of the genotype to raise its maximum yield, referred to as the optimum growth pattern. The optimum growth pattern for determinate sweetpotato genotypes is of a two-phase plant growth, with the switchover occurring at the instant the plant becomes limited by restriction of its access to light (senescence). Subsequent values of the growing cycle which give maximum yield per unit time of harvest occur after these periods for indeterminate growth which are functions of above ground vegetative (leaves) lifetime. Each successive maximum is larger than the last, so one might expect the plants to evolve longer lifetimes and correspondingly longer periods of indeterminate (CSRFAB) growth. The intensity of senescence strongly varied (P<0.001) among genotypes and was negatively correlated with CSRFAB (Table 7). The yield rate of change between the 120 DAP and the 150 DAP was always negative. For the CSRFAB (Figure 3 & Figure 5), all the mean predictions and changes were positive. Yield increased up to more than 20-fold and the increase was genotype dependent.
Note. DAP: Days after planting; a: intercept of the growth curve; b1: linear slope of the growth curve; b2: quadratic slope of the polynomial growth; R2: coefficient of determination; % change: rate of change between the normal harvest time (120 DAP) and the extended harvesting time (180 DAP); L: Linear; Q: Quadratic. NaCRRI: National Crop Resources Research Institute; NaSARRI: National Semi-arid Resources research Institute.

Growth trend for genotypes A3, A25, A43 and B72 showing a fully DCSRFAB trait which generally increases the yield up to 120 days after planting (DAP) and then decreases overtime. The cumulative yield is generally lower than the maximum yield due to the yield decreasing in late stages. Note: DAP = days after planting, Cum. = cumulative yield.

Note: DAP = days after planting; CSRFAB = Continuous storage root formation and bulking; Cum. = Cumulative scores. DCSRFAB = discontinuous storage root formation and harvesting. Trend of scores over four harvest times for DCSRFAB genotypes A3, A25, A43 and B72 decreases due to progressive reduction of newly formed storage roots and similar bulking across all storage roots of the same genotype. The cumulative scores are generally lower than the respective maximum scores due to to the rate of CSRFAB decreasing in late stages.

Note: DAP = days after planting; Cum. = Cumulative yield. Growth trend for genotypes A30, A14, B1 and B80 shows CSRFAB with increased yield overtime. The yield increase starts slowly and drastically increases at a late stage (150 DAP). The cumulative yield is the same with the last harvest (180 DAP).

Note: DAP = days after planting; CSRFAB = Continuous storage root formation and bulking; Cum. = Cumulative scores. Scores show a trend which is similar across the four harvest times suggesting a possibility of predicting CSRFAB genotypes from early stages upwards. Genotypes A30, B1, B14 and B80 exhibit continuous bulking over the four harvest times. Cumulative scores were the same with 180DAP confirming the precision of the scale.
These results are in agreement with the basic growth curves in many crop plants (Schurr et al., 2006; Yanfu et al., 1989). The rapid growth in the first stage for determinate or DSRFAB genotypes could be attributed to early maturing genotype properties in which there is more energy invested in biomass production for early remobilization for storage root bulking and this plant growth expression is also reported in other annual crops (Wenk & Falster, 2015). However, the maximum yield in this period was low and was limited by the available amount of green biomass which affected the bulking rate. Paltridge et al. (1984) reported similar common characteristics in which many plants have a rather sharp transition between the vegetative and the reproductive stages of growth. If the time of switch over is small, the amount of green leaf would be small and the subsequent rate of production and final yield would be also low. In this phase, the time of switchover was before 90 DAP. Sweetpotato continues to grow and branch if environmental conditions are favorable, due to its perennial habit, but the leaves formed earlier in the growing season start to fall and the total number of leaves and leaf area decrease toward the end of the growing season (Somda & Kays, 1990). Determinate or DSRFAB genotypes lost their ability to initiate new shoots at around 120 DAP and the VW decreased drastically. These results agree with findings of Paltridge & Denholm (1974) and Bhagsari (1990) in which most annuals exhibit a single reproductive phase, often with a sudden onset.
The senescence phenotype was less observed in indeterminate types, although greenness intensity was reduced at 120 DAP which resumed and drastically increased (high positive quadratic slope) from 150 DAP when rains came back. Bhagsari (1990) reported similar results that sweetpotato cultivars maintained leaf area index to intercept a major portion of sunlight until harvest, and leaf area growth significantly differed depending on cultivar.
The slow increase in most of the yield component parameters in CSRFAB genotypes resulted in low storage root yield in the first growth phases (Figure 3 & Figure 5). This can be explained by the fact that indeterminate genotypes invest resources for maintenance at earlier stages including root elongation for nutrition purposes and biomass production to maintain vegetative growth. This resulted in strong vegetative quadratic biomass increase (Table 7) for CSRFAB genotypes. For these genotypes the time of switchover to reproduction was very late (around 150 DAP). This was the last growth phase where yield increased drastically in CSRFAB corresponding to the switch to reproduction (onset of flower and seed) and storage root remobilization in sweetpotato in which the plant invests its vegetative resources in increasing the sink capacity. Because of high availability of resource/energy in upper biomass, sink strength is increased leading to increased productivity.
For sweetpotato breeders and practitioners, harvest index (HI) is difficult to estimate due to the problem of measuring its components. For instance, the time of harvest influences greatly the value of HI because storage root bulking is likely to vary progressively from the onset of the storage roots and increases with the biomass translocation into storage roots. However, the senescence reduces the above-ground biomass progressively leading to high and unrealistic values (e.g. HI of 99.31%) (Table 7). Therefore, HI of sweetpotato varies greatly with the time of harvest. This variation is also influenced by other environmental factors including wet or dry conditions during harvest which increase or decrease weight due high or less moisture. Similar results in other roots and tubers are reviewed by Hay (1995).
Overall, the yield started low, at 90 DAP (overall mean) and increased progressively as growth time increased (Table 7 and Table 8). This relationship is well explained by the variation in the data (R2 varied from 38% to 65%). High yielding genotypes showed consistently maximum yields in the population (R2>0.99) while low yielding genotypes showed inconsistent relationship (low R2). The maximum yield recorded across locations and seasons was 16.7 t/ha and 28.6 t/ha at the first harvest and the last harvest, respectively. This implies that the frequency of genotypes that increase yield overtime is high. In this trial, some genotypes reached maximum growth earlier, others late, leading to high variability in growth related parameters.
On average, there was a two-fold increase in yield from the 90 DAP to 180 DAP. The 10 most distinct DSRFAB genotypes were MPG1146 (A26), Dimbuka-Bukulula (A34), NASPOT 1 (A24), Otada (A40), MPG1128 (A11), MSK1040 (A33), RAK786 (A10), KMI88 (A42), KBL648 (A14) and the 10 most distinct CSRFAB were SPK004 (A19), Kala (A13), BSH740 (A16), KML872(A32), NASPOT 10 O (A22), Mayai (A3), Ukerewe (A41), NASPOT 7 (A30), APA352 (A27) and RAK819 (A18). These contrasting genotypes for CSRFAB can be used in breeding programs to study and improve sweetpotato yield in CSRFAB genotypes. The average yield at two locations in two seasons shows that you can more than double sweetpotato production by choosing high yielding genotypes (Table 7 with maximum yield of 13.17 t/ha for DSRFAB versus maximum of 28.64 t/ha for CSRFAB). Similar results have been reported (Çalişkan et al., 2007) in which there were significant differences among the locations, 60 to 70 t/ha of storage root yield being obtained by choosing high-yielding varieties.
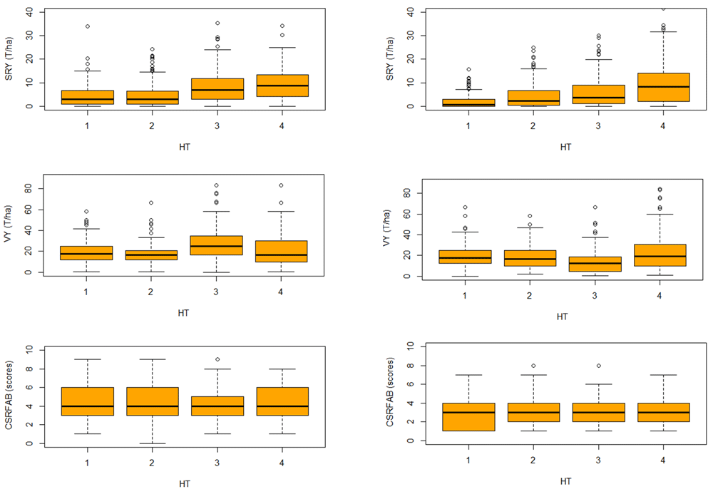
For SRY and VY the first two box plots are comparatively equally shorter than the third and fourth box plots (Figure 6). This suggests that, overall, genotypes have little variation over the first two harvest times. It also suggests low variation between time of harvest during this phase. The third and fourth box plots are higher than the first two box plots for SRY and VY. This suggests that genotypes have quite different growth patterns from the two first harvest times and the two last ones. It also suggests high variation among the genotypes. The last two box plots in each sub-figure show obvious differences within each box plot and the two first box plots. This suggests an area of difference that could be explored further. The four sections of the box plots are uneven in size. This shows that many genotypes have a similar growth pattern during the early growth phase, but in a later phase genotypes are more variable in their growth pattern. The long upper whisker shows that genotype growth varied amongst the most positive quartile group, and very similar for the least positive quartile group. This suggests a need for further exploration. The medians of the two first harvest time plots (which generally will be close to the average) are at the same level. However, the box plot of the last two harvest times shows very different distribution means. Variation and distribution of CSRFAB scores across location and seasons consistently remained almost the same, suggesting an accurate response prediction of the scores from the beginning.


Note: SRY=storage root yield; VY=vine yield; HT=harvesting time; 1=90DAP; 2=120 DAP; 3=150 DAP; 4=180 DAP.
CSRFAB scores were highly and positively correlated with most of the yield component traits (Table 9). This implies that CSRFAB is also a component of yield. In other words, the higher the CSRFAB scores of a sweetpotato genotype, the higher the yield of the genotype. CSRFAB scores were negatively correlated with SEN which confirms our hypothesis in which a CSRFAB genotype should maintain vegetative growth to continuously provide source/inputs for sink storage roots. The negative correlation with VW needs further investigation, however, we believe the competition of source and sink activities in the plant, effects of pests and diseases such as nematodes and Alternaria stem blight (Alternaria bataticola) and SPVD could be among the factors. It is possible to cease vegetative growth and continue survival for an extended period, but most varieties reduce their vegetative weight following the storage root bulking peak (Venus & Causton, 1979). The comparison of a classic method of evaluating growth change (analyzing yield mean change between two consecutive harvests) and the developed scale for measuring CSRFAB traits produced similar results, however, CSRFAB was more accurate. This is supported by high heritability and low residual variance observed for CSRFAB versus yield and other component parameters. Using the developed scale, 48 genotypes were clustered among CSRFAB genotypes, whereas 62 genotypes clustered among DSRFAB (Figure 5). These results were reproduced in the following season, and 41% were common to the two methods in 2017A versus 46% in 2017B (Figure 8).
Note. CRN: commercial storage root number; CRW = commercial storage root weight; CSRFAB = continuous storage root formation and bulking (scored 1–9); HI = harvesting index; SEN = senescence (scored 1 to 9); SRD: storage root diameter; SRL: storage root length; SRN storage root number; SRY = storage root yield; VW = vine weight; VY = vine yield.
It was hypothesized that CSRFAB genotypes potentially increase yield over time, therefore, the trait can be screened for by measuring yield change overtime. This method, holding other factors constant, shall produce the same results of scoring for the trait using the developed 1 to 9 scale. We investigated this relationship in our data. Overall, the yield change analysis over four harvest times grouped the 110 genotypes (without missing data) into 39 CSRFAB and 71 DSRFAB genotypes. Using the developed scale, 48 genotypes clustered among the CSRFAB genotypes, whereas 62 genotypes clustered together as DSRFAB (Figure 8).
CSRFAB scores represent a measure of changes in CSRFAB on a scale of 1 to 9. Figure 9 shows the total number of clones that exhibited CSRFAB and DSRFAB in 2017A, the respective proportion of each category in the total population, the respective total number of clones that are common to a different method of screening and their respective proportions under each method of screening. The overall picture shows similarities, although the accuracy differs between methods. Comparing the score results of 2017A and 2017B, there is high reproducibility of the results. This implies that the CSRFAB scale of 1 to 9 can be used accurately to estimate changes in CSRFAB genotypes and yield progress in sweetpotato crops overtime.

The number of genotypes clustered in the same category under both screening methods. Note. SRY: storage root yield; NaCRRI: National Crops Resources Research Institute; 2017A and 2017B: first and second rainy seasons of 2017; CSRFAB rate: the fraction of number of CSRFAB genotypes over the total genotype number assessed; DSRFAB rate: the fraction of number of DCSRFAB out of the total number of genotypes assessed; TC: total number of genotypes; Common clones TC: the total number of same genotypes clustered among CSRFAB using the two screening methods; Common clone rate: the percentage of same genotypes under each method out of the total common genotypes.
HI captures the allocation of biological yield into above-ground biomass and root biomass (with commercial and non-commercial storage and non-storage roots). Estimating the amount of non-storage and non-commercial roots is extremely difficult (Grüneberg et al., 2015) because of newly initiated and immature storage roots that will affect the final yield of indeterminate genotypes. Usually, HI is calculated by storage root yield divided by above-ground biomass and storage root production which overestimates HI values. HI values are likely to increase with time of harvest for CSRFAB genotypes because the number and weight of storage roots increase overtime. CSRFAB, newly investigated in this research, highlights the need to integrate these complex yield components by estimating their effects leading to the final maximum yield, and introgressing genes controlling the trait into genotypes with other major desirable traits such as SPVD resistance, weevil resistance and drought tolerance to unleash the potential of sweetpotato.
This study highlights three important results: 1) the CSRFAB trait can be exploited to provide additional yield in sweetpotato 2) the 1 to 9 scale developed provided consistent scores across replications, and reflected well the growth patterns observable phenotypically, 3) the method of analyzing growth variables over harvest times revealed distinct growth patterns among genotypes. These patterns identify which sweetpotato genotypes are likely to be suited to piecemeal harvesting. The methodolgy introduced here is expected to be useful in other root crops as well.
This study showed that CSRFAB genotypes differentially increased yields up to 779% and discontinuous genotypes reduced yield after crop maturity up to 85% for determinate genotypes. Five months after planting (150 DAP) is proposed as the ideal scoring time for this scale, however, there is need for further work in different agroecologies to validate the reliability of the results. The sweetpotato genotypes used in this study are highly variable for CSRFAB and breeding to improve the trait should be feasible due to its high heritability. Genotypes most distinct for CSRFAB were, SPK004, Kala, BSH740, KML872, NASPOT 9 O, Mayai, Ukerewe, NASPOT 7, APA352 and RAK819, and those distinct for DCSRFAB were, MPG1146, Dimbuka-Bukulula, NASPOT 1, Otada, MPG1128, MSK1040, RAK786, KMI88, and KBL648. The highest CSRFAB yielder, SPK004 (28.6 t/ha) outperformed by 15.4 t/ha (117%) the highest DCSRFAB yielder, MPG1146 (13.2 t/ha) across locations and seasons. Delaying in harvest leads to final yield losses for DCSRFAB while it enhances final yield of CSRFAB genotypes. These genotypes can be used in conventional sweetpotato breeding for yield improvement. For sweetpotato breeding, the CSRFAB genotypes are recommended for the improvement of sweetpotato varieties suitable for piecemeal harvesting in small scale farming systems, while the discontinuous genotypes are recommended for the development of early maturing sweetpotato varieties. However, the trait needs much more understanding of the physiology of sweetpotato. Therefore, linking these phenotypic patterns with causal genomic variations can provide a clear understanding of selection scenarios and speed up the breeding for this important trait in sweetpotato.
The data underlying this study is available from International Potato Center (CIP) Dataverse.
CIP Dataverse: Dataset 1. Dataset for: Continuous Storage Root Formation and Bulking in Sweetpotato http://dx.doi.org/10.21223/P3/IC6ZEY (Bararyenya et al., 2018b)
The authors thank the National Agricultural Research Organization of Uganda for providing sites for the trials, and CIP and NARO for kindly providing technical support and the sweetpotato genotypes.
| Views | Downloads | |
|---|---|---|
| Gates Open Research | - | - |
|
PubMed Central
Data from PMC are received and updated monthly.
|
- | - |
Is the work clearly and accurately presented and does it cite the current literature?
Yes
Is the study design appropriate and is the work technically sound?
Partly
Are sufficient details of methods and analysis provided to allow replication by others?
No
If applicable, is the statistical analysis and its interpretation appropriate?
No
Are all the source data underlying the results available to ensure full reproducibility?
No source data required
Are the conclusions drawn adequately supported by the results?
Partly
Competing Interests: No competing interests were disclosed.
Reviewer Expertise: Plant breeding and Genetics and, Conservation Genetics.
Is the work clearly and accurately presented and does it cite the current literature?
Partly
Is the study design appropriate and is the work technically sound?
Yes
Are sufficient details of methods and analysis provided to allow replication by others?
Partly
If applicable, is the statistical analysis and its interpretation appropriate?
Yes
Are all the source data underlying the results available to ensure full reproducibility?
Yes
Are the conclusions drawn adequately supported by the results?
Partly
Competing Interests: No competing interests were disclosed.
Reviewer Expertise: Plant Breeding, Plant Genetics, Crop Improvement, Quantitative Genetics
Is the work clearly and accurately presented and does it cite the current literature?
Partly
Is the study design appropriate and is the work technically sound?
Partly
Are sufficient details of methods and analysis provided to allow replication by others?
No
If applicable, is the statistical analysis and its interpretation appropriate?
Partly
Are all the source data underlying the results available to ensure full reproducibility?
Partly
Are the conclusions drawn adequately supported by the results?
Partly
References
1. LOWE S, WILSON L: Comparative Analysis of Tuber Development in Six Sweet Potato (Ipomoea batatas (L.) Lam) Cultivars. Annals of Botany. 1974; 38 (2): 307-317 Publisher Full TextCompeting Interests: No competing interests were disclosed.
Reviewer Expertise: Relationship between sweetpotato root architecture and storage root development.
Alongside their report, reviewers assign a status to the article:
| Invited Reviewers | |||
|---|---|---|---|
| 1 | 2 | 3 | |
|
Version 4 (revision) 09 Jul 20 |
|||
|
Version 3 (revision) 08 Apr 20 |
read | ||
|
Version 2 (revision) 14 Oct 19 |
read | ||
|
Version 1 11 Feb 19 |
read | read | |
Provide sufficient details of any financial or non-financial competing interests to enable users to assess whether your comments might lead a reasonable person to question your impartiality. Consider the following examples, but note that this is not an exhaustive list:
Sign up for content alerts and receive a weekly or monthly email with all newly published articles
Register with Gates Open Research
Already registered? Sign in
If you are a previous or current Gates grant holder, sign up for information about developments, publishing and publications from Gates Open Research.
We'll keep you updated on any major new updates to Gates Open Research
The email address should be the one you originally registered with F1000.
You registered with F1000 via Google, so we cannot reset your password.
To sign in, please click here.
If you still need help with your Google account password, please click here.
You registered with F1000 via Facebook, so we cannot reset your password.
To sign in, please click here.
If you still need help with your Facebook account password, please click here.
If your email address is registered with us, we will email you instructions to reset your password.
If you think you should have received this email but it has not arrived, please check your spam filters and/or contact for further assistance.
In general, and in specific instances the reviewer’s comments were very helpful and have been responded to in order ... Continue reading Response to Reviewer’s (Dr. Alfonso del Rio) Report (responses are in italics).
In general, and in specific instances the reviewer’s comments were very helpful and have been responded to in order to help readers to follow the work as suggested by the reviewer.
This study was aimed to determine how continuous storage root formation and bulking vary over diverse genotypes of sweet potatoes from Uganda. This remarks that some genotypes with good CSRFAB can be identified and have the potential to be used to enhance sweet potato productivity.
It is evident that identifying sources of good traits is significant to promote advances in breeding and agriculture. From that standpoint this study has merit. However, the reviewer finds this manuscript doesn't have good flow and it is difficult to follow.
Significant revisions have been made to improve on the flow; all changes have been highlighted.
One criticism is that the authors build the discussion including excessive statistics and excessive technical details of the statistical analysis. In many cases it was not clear what the findings were as information and concepts become unclear. I would advise the authors to make it simpler, you have to take into consideration that this paper will reach a broad audience with different backgrounds. This study has practical implications, giving a clear view of the results, discussions and analyses could enhance its outreach and practical application from breeding groups in the region.
Details on statistics and technical details have been drastically reduced while maintaining content wherever it makes the flow and the text easier to understand.
In summary, this manuscript needs major revision. It needs to simplify the statistical analysis to a point of showing what is truly relevant with respect to the variation in traits assessed to explain CSRFAB and the variation among genotypes. This manuscript is too long.
Major revisions have been made on the manuscript; methods section and experimental details have been modified and statistical analysis details reduced drastically.
Some additional comments:
•In Introduction: The second paragraph, it seems to me that the authors should clarify better if yield increase was because of the effect of breeding or just an increase of planting areas. If the latter this doesn't help much justifying the addition of new breeding forms.
A modification has been made to the text: “The increase in production was due to a combination of factors varying in different countries but mainly due to increase in area and breeding efforts.”
•In Methods: What is a mega-environment for selection? I assume it was as reference to environmental diversity but the term mega-environment is a bit misleading in my view.
A modification has been made to the text to reflect environmental diversity; “mega-environment” has been dropped.
•Results:
It is not new to report that clonal forms can respond differently in different environments. Variation levels across multiple environments is often high in field experiments in any crop. How is this result original? Then, you indicate that there is high variability among genotypes across locations + seasons. Wasn't this expected from a variable set of genotypes?
The confusing, rather long text has been deleted and the remaining text modified to refer to the CSRFAB trait.
•When the authors indicate that "this can be explained by the large population effect combined with sample size", I would suggest clarification in that sentence since I understand the same number of plants and populations were used in the experiments. How were the effects compared on that basis?
The details have been deleted and the remaining text modified for clarity.
•The parameters that the authors have used are related to storage root development, it seems that indicating that genotype performance increases overtime and is linearly explained is a logical outcome and fully expected. Storage root formation is related to maturity and developmental stages (=time). Maybe you need to clarify that result and explain better.
The terms used in the manuscript are “storage root formation” or “storage root initiation” and “bulking”. Bulking is related to development and maturity. However, storage root formation or initiation, when continuous in the life of the genotype is a different component which has been identified in some genotypes in this study and can be exploited to benefit farming systems where there is piecemeal harvesting. A small modification has been made in the text by using both storage root formation and storage root initiation.
Is the work clearly and accurately presented and does it cite the current literature?
Yes
Is the study design appropriate and is the work technically sound?
Partly
Modifications have been made under the Methods section for the reader to follow the design.
Are sufficient details of methods and analysis provided to allow replication by others?
No
The Methods and Analysis sections have been modified while avoiding expanding technical details.
If applicable, is the statistical analysis and its interpretation appropriate?
No
Details of the statistical analysis and technical details have been reduced for clarity.
Are all the source data underlying the results available to ensure full reproducibility?
No source data required
Are the conclusions drawn adequately supported by the results? Partly
The text in the Methods and analysis and results have been modified for smooth flow and clarity.
Competing Interests
No competing interests were disclosed.
A statement on competing interests has been added to the text.
Reviewer Expertise
Plant breeding and Genetics and, Conservation Genetics.
I confirm that I have read this submission and believe that I have an appropriate level of expertise to confirm that it is of an acceptable scientific standard, however I have significant reservations, as outlined above.
In general, and in specific instances the reviewer’s comments were very helpful and have been responded to in order to help readers to follow the work as suggested by the reviewer.
This study was aimed to determine how continuous storage root formation and bulking vary over diverse genotypes of sweet potatoes from Uganda. This remarks that some genotypes with good CSRFAB can be identified and have the potential to be used to enhance sweet potato productivity.
It is evident that identifying sources of good traits is significant to promote advances in breeding and agriculture. From that standpoint this study has merit. However, the reviewer finds this manuscript doesn't have good flow and it is difficult to follow.
Significant revisions have been made to improve on the flow; all changes have been highlighted.
One criticism is that the authors build the discussion including excessive statistics and excessive technical details of the statistical analysis. In many cases it was not clear what the findings were as information and concepts become unclear. I would advise the authors to make it simpler, you have to take into consideration that this paper will reach a broad audience with different backgrounds. This study has practical implications, giving a clear view of the results, discussions and analyses could enhance its outreach and practical application from breeding groups in the region.
Details on statistics and technical details have been drastically reduced while maintaining content wherever it makes the flow and the text easier to understand.
In summary, this manuscript needs major revision. It needs to simplify the statistical analysis to a point of showing what is truly relevant with respect to the variation in traits assessed to explain CSRFAB and the variation among genotypes. This manuscript is too long.
Major revisions have been made on the manuscript; methods section and experimental details have been modified and statistical analysis details reduced drastically.
Some additional comments:
•In Introduction: The second paragraph, it seems to me that the authors should clarify better if yield increase was because of the effect of breeding or just an increase of planting areas. If the latter this doesn't help much justifying the addition of new breeding forms.
A modification has been made to the text: “The increase in production was due to a combination of factors varying in different countries but mainly due to increase in area and breeding efforts.”
•In Methods: What is a mega-environment for selection? I assume it was as reference to environmental diversity but the term mega-environment is a bit misleading in my view.
A modification has been made to the text to reflect environmental diversity; “mega-environment” has been dropped.
•Results:
It is not new to report that clonal forms can respond differently in different environments. Variation levels across multiple environments is often high in field experiments in any crop. How is this result original? Then, you indicate that there is high variability among genotypes across locations + seasons. Wasn't this expected from a variable set of genotypes?
The confusing, rather long text has been deleted and the remaining text modified to refer to the CSRFAB trait.
•When the authors indicate that "this can be explained by the large population effect combined with sample size", I would suggest clarification in that sentence since I understand the same number of plants and populations were used in the experiments. How were the effects compared on that basis?
The details have been deleted and the remaining text modified for clarity.
•The parameters that the authors have used are related to storage root development, it seems that indicating that genotype performance increases overtime and is linearly explained is a logical outcome and fully expected. Storage root formation is related to maturity and developmental stages (=time). Maybe you need to clarify that result and explain better.
The terms used in the manuscript are “storage root formation” or “storage root initiation” and “bulking”. Bulking is related to development and maturity. However, storage root formation or initiation, when continuous in the life of the genotype is a different component which has been identified in some genotypes in this study and can be exploited to benefit farming systems where there is piecemeal harvesting. A small modification has been made in the text by using both storage root formation and storage root initiation.
Is the work clearly and accurately presented and does it cite the current literature?
Yes
Is the study design appropriate and is the work technically sound?
Partly
Modifications have been made under the Methods section for the reader to follow the design.
Are sufficient details of methods and analysis provided to allow replication by others?
No
The Methods and Analysis sections have been modified while avoiding expanding technical details.
If applicable, is the statistical analysis and its interpretation appropriate?
No
Details of the statistical analysis and technical details have been reduced for clarity.
Are all the source data underlying the results available to ensure full reproducibility?
No source data required
Are the conclusions drawn adequately supported by the results? Partly
The text in the Methods and analysis and results have been modified for smooth flow and clarity.
Competing Interests
No competing interests were disclosed.
A statement on competing interests has been added to the text.
Reviewer Expertise
Plant breeding and Genetics and, Conservation Genetics.
I confirm that I have read this submission and believe that I have an appropriate level of expertise to confirm that it is of an acceptable scientific standard, however I have significant reservations, as outlined above.