Keywords
Exclusive breastfeeding, linear growth, stunting, low- and middle-income countries, network meta-analysis
Exclusive breastfeeding, linear growth, stunting, low- and middle-income countries, network meta-analysis
In past decades, important progress achieved in maternal, newborn, and child health (MNCH) have led to substantial reductions in maternal and child mortality rates1,2. However, many children still fail to reach their linear growth potential, particularly those living in low- and middle-income countries (LMICs)3. Linear growth in early childhood is a marker of healthy development that is closely linked with neurodevelopment4. The first six months of age (birth to 6 months), known as the exclusive breastfeeding period, is a critical life stage for early child development. There is a strong evidence to support the benefits of exclusive breastfeeding during this life stage5–7. As such, mechanisms and resources to facilitate appropriate self-care in addition to psycho-social support for breastfeeding mothers is necessary to improve both health outcomes of mothers and babies. For instance, poor maternal nutrition could lead to lactation issues creating barriers for mothers to exclusively breastfeed3. Inadequate care, poor hygiene, and control of diseases for infants and mothers may also inadvertently limit the growth of infants who are adequately breastfed3,8,9.
The current evidence for other interventions, such as micronutrients, food supplements, deworming, maternal education, and kangaroo care (i.e. early skin-to-skin care) interventions is unclear for the exclusive breastfeeding life stage. Although there are numerous published reviews aimed to assess the effectiveness of these interventions that can be provided during exclusive breastfeeding period (Table 1), their scope has been limited to summarize the comparative effectiveness of a single intervention or interventions within a single domain only. Given that determinants of linear growth for exclusive breastfeeding period is multi-faceted, there is a need to summarize the evidence base of interventions from multiple intervention domains, since multi-domain intervention solutions are likely needed to tackle this problem.
| Review ID | Title | Interventions | No of studies | Included study types |
|---|---|---|---|---|
| Kramer 20125 | Optimal duration of exclusive breastfeeding (Review). | Exclusive breastfeeding vs complementary food introduction at 4 months | 23 | Randomized trials |
| Lumbiganon 201610 | Antenatal breastfeeding education for increasing breastfeeding duration. | Breastfeeding education for increasing breastfeeding duration | 24 | Randomized trials |
| Haroon 201311 | Breastfeeding promotion interventions and breastfeeding practices: a systematic review. | Breastfeeding education or support | 110 | Randomized trials and quasi- experimental studies |
| Balogun 201612 | Interventions for promoting the initiation of breastfeeding. | Breastfeeding education, support groups | 28 | Randomized trials |
| Giugliani 201513 | Effect of breastfeeding promotion interventions on child growth: a systematic review and meta- analysis. | Breastfeeding promoting interventions | 35 | Randomized trials |
| Abe 201614 | Supplementation with multiple micronutrients for breastfeeding women for improving outcomes for the mother and baby. | Micronutrients mothers | 2 | Randomized trials |
| Ndikom 201415 | Extra fluids for breastfeeding mothers for increasing milk production. | Forced fluids | 1 | Randomized trials |
| Martin 201616 | Review of Infant Feeding: Key Features of Breast Milk and Infant Formula. | Infant nutrition | 6 | Randomized trials |
| Fleith 200517 | Dietary PUFA for Preterm and Term Infants: Review of Clinical Studies | Infant nutrition | 28 | Randomized trials |
| Conde-Agudelo 201618 | Kangaroo mother care to reduce morbidity and mortality in low birthweight infants. | Kangaroo care | 21 | Randomized trials |
| Moore 201619 | Early skin-to-skin contact for mothers and their healthy newborn infants. | Kangaroo care | 46 | Randomized trials |
| Delgado- Noguera 201520 | Supplementation with long chain polyunsaturated fatty acids (LCPUFA) to breastfeeding mothers for improving child growth and development. | Long chain polyunsaturated fatty acids supplements | 8 | Randomized trials |
| Thiele 201321 | Maternal vitamin D supplementation to meet the needs of the breastfed infant: a systematic review. | Vitamin D supplements | 3 | Randomized trials |
| Becker 201622 | Methods of milk expression for lactating women. | Methods of lactation | 41 | Randomized trials |
This article uses a comprehensive literature review for multiple intervention domains of micronutrient, food supplements, deworming, maternal education, water sanitation and hygiene (WASH), and kangaroo care to summarize their effects on linear growth for LMIC-based infants in the exclusive breastfeeding period. For our quantitative summary, we have used network meta-analysis for all interventions except for kangaroo care to summarize their effects on LAZ and stunting outcomes; kangaroo care was assessed using pairwise meta-analysis. As the data was too sparse to facilitate meta-analysis, we qualitatively summarized the evidence base for outcomes length and head circumference.
Our analysis and report was designed and reported according to the Preferred Reporting Items for Systematic Reviews and Meta-Analysis (PRISMA) extension to network meta-analysis23. The protocol for this study was registered in PROSPERO (CRD42018110450).
Our search strategy was developed after first reviewing the papers published in the Lancet 2013 Maternal and Child Nutrition series3,24, inclusive of the umbrella review by Bhutta and colleagues7, for an overview of the literature. Specifically, we hand-searched the bibliography of Bhutta et al.7 for relevant systematic reviews, global health guidelines, and LMIC-based trials. We also performed additional searches in PubMed and the Cochrane Database of Systematic Reviews for more recent trials and other reviews published after 2013. The list of published reviews relevant to this study is provided in Table 1.
For our systematic literature search, we scanned the following databases from inception to August 28, 2019: the Cochrane Central Register of Controlled Trials, Embase, and MEDLINE (Extended data, Supplementary Tables 1–3)25. To increase the sensitivity of our search, we complemented our database searches with relevant trials identified from bibliographies of prior reviews. Table 3 describes the Population, Intervention, Comparator, Outcome, and Study Design (PICOS) criteria used to guide the study selection for our systematic literature review. We included randomized clinical trials on interventions of the following domains: Micronutrient supplements; Food supplements; Deworming for mothers; Maternal and breastfeeding education, and promotion; WASH; and kangaroo care (i.e. skin-to-skin care). The outcomes of interest included change in LAZ, proportions of participants with stunting (defined by LAZ below -2SD), change in length, and change in head circumference. For all intervention domains, except for kangaroo care, we excluded studies that did not report the effects of their respective interventions for at least three months. For kangaroo care, there was no restriction for time of follow-up given short duration nature of this intervention. We excluded non-English language studies.
A team of four reviewers (JJHP, ES, LD, and RM) independently reviewed all abstracts and proceedings identified in the literature searches. The same team independently conducted relevant full-text reviews of relevant papers. If any discrepancies occurred between the studies selected by the same reviewers, a third investigator (KT) provided arbitration.
Using a standardized data sheet in Microsoft Excel, four investigators (JJHP, VJ, NEZ, and HG) independently extracted data for study characteristics, interventions used, patient characteristics at baseline, and outcomes from the final list of selected eligible studies. Any discrepancies observed during data extraction were resolved through discussion between the investigators until consensus was reached.
When sufficient data was available for quantitative assessment, a network meta-analysis or pairwise meta-analysis approach was applied. For all domains of interventions except for kangaroo care, we performed a network meta-analysis for LAZ and stunting. There was a limited number of studies that reported on length and head circumference, so we qualitatively synthesized findings from these trials as an alternative to quantitative analysis. We did not consider kangaroo care as part of the network meta-analysis since these trials involved a shorter intervention duration and follow-up (median follow-up of 2 weeks).
We performed a network meta-analysis within the Bayesian framework in R using the R2WinBUGS v14 package26,27. Bayesian models were performed according to the National Institute for Health and Care Excellence (NICE) in their Technical Support Document 2 (TSD2)28. Estimates of comparative effectiveness were measured using mean differences in LAZ with the associated 95% credible intervals (95% CrI). In all models, we used an empirically informative heterogeneity prior distribution, as suggested by Rhodes et al. 201629 for LAZ and Turner et al. 201530 for stunting. This was done to stabilize the estimation of heterogeneity in the face of low number of trials per comparison in the network. Our model selection was informed by using the deviance information criterion and the deviance-leverage plots that could help identify outlier(s) in terms of model fit, in accordance with the NICE TSD2 recommendations28.
For our primary network meta-analysis, we included both cluster and non-cluster randomized clinical trials (with the unit of randomization set at the individual level). To adjust for clustering effects of the cluster trials, we assumed a conservative intra-cluster correlation coefficient (ICC) of 0.05, and we inflated variances accordingly for continuous outcomes and adjusted the sample sizes and the number of cases for dichotomous outcomes, as recommended by Uhlmann et al.31 We performed a sensitivity analysis by excluding cluster randomized clinical trials in our network meta-analysis. For our pairwise meta-analysis on kangaroo care, we performed a random-effects model using the Metafor R package (in R2WinBUGS v14)32. For our network meta-analysis, the estimates of effectiveness were measured using mean differences or relative risk with accompanying 95% credible intervals (CrIs). The estimates of effectiveness were measured using mean differences with accompanying 95% confidence intervals (CIs) for our pairwise meta-analysis on kangaroo care. As no kangaroo care trials involved cluster randomization, our pairwise meta-analysis did not need to adjust for the clustering effect.
We identified 20,224 abstracts from our database searches and hand searching of reference lists from published reviews (Figure 1). Of these, 1099 studies underwent a full-text review, and 40 papers reporting on 29 trials met our inclusion criteria. In total, these trials pertained to 35,119 participants that were randomized to 73 unique interventions (Figure 2). The list of the final subset is provided in Table 2, and the list of excluded studies (Extended data, Supplementary Table 5)25 is provided in the online appendix.

Each node (circle) represents an intervention with each line representing a direct comparison between interventions (i.e. these interventions have been compared directly in a head-to-head randomized clinical trial). The width of the lines represents the numbers of trials with comparison in question. The white circle shows standard-of-care; blue circles represent micronutrient interventions; brown circles represent balanced energy protein or food supplements that are fortified and not; yellow circles represent education and counseling interventions; green circle represents deworming intervention; and orange circles represents WASH interventions. Fort, fortified; IFA, iron + folic acid; LNS, lipid based nutrient supplements; MMN, multiple micronutrients; SOC, standard of care; Vit, vitamin; HS, hand sanitizer.
| Trial ID | Registry number | First author, year | Title |
|---|---|---|---|
| Acharya 201441 | NR | Acharya 2014 | Randomized Control Trial of Kangaroo Mother Care in Low Birth Weight Babies at a Tertiary Level Hospital |
| Adu-Afarwuah 201634,42 | NCT00970866 | Adu-Afarwuah 2016 | Small-quantity, lipid-based nutrient supplements provided to women during pregnancy and 6 mo postpartum and to their infants from 6 mo of age increase the mean attained length of 18-mo-old children in semi-urban Ghana: a randomized controlled trial |
| Adu-Afarwuah 2017 | Maternal supplementation with small-quantity lipid-based nutrient supplements compared with multiple micronutrients, but not with iron and folic acid, reduces the prevalence of low gestational weight gain in semi-urban ghana: A randomized controlled trial | ||
| Ashorn 2015A35,43,44 | NCT01239693 | Ashorn 2015A | Supplementation of Maternal Diets during Pregnancy and for 6 Months Postpartum and Infant Diets Thereafter with Small-Quantity Lipid-Based Nutrient Supplements Does Not Promote Child Growth by 18 Months of Age in Rural Malawi: A Randomized Controlled Trial |
| Ashorn 2015B | The impact of lipid-based nutrient supplement provision to pregnant women on newborn size in rural Malawi: a randomized controlled trial | ||
| Adu-Afarwuah 2018 | From the field: Improving fetal and infant growth in vulnerable populations | ||
| Boo 200745 | NR | Boo 2007 | Short duration of skin-to-skin contact: effects on growth and breastfeeding |
| CARING trial46 | ISCRTN51505201 | Nair 2017 | Effect of participatory women's groups and counselling through home visits on children's linear growth in rural eastern india (caring trial): A cluster-randomised controlled trial |
| Feliciano 199447 | NR | Feliciano 1994 | Seasonal and Geographical Variations in the Growth Rate of Infants in China Receiving Increasing Dosages of Vitamin D Supplements |
| Gathwala 201048 | NR | Gathwala 2010 | Effect of Kangaroo Mother Care on physical growth, breastfeeding and its acceptability |
| Goodstart49,50 | NR | Tomlinson 2011 | An effectiveness study of an integrated, community-based package for maternal, newborn, child and HIV care in South Africa: study protocol for a randomized controlled trial |
| NR | Tomlinson 2014 | Goodstart: a cluster randomised effectiveness trial of an integrated, community-based package for maternal and newborn care, with prevention of mother-to-child transmission of HIV in a South African township | |
| Habib 201551 | NCT01229579 | Habib 2015 | Zinc supplementation fails to increase the immunogenicity of oral poliovirus vaccine: A randomized controlled trial |
| Hamadani 200152 | NR | Hamadani 2001 | Randomized controlled trial of the effect of zinc supplementation on the mental development of bangladeshi infants |
| JiVitA-353,54 | NCT00860470 | Christian 2016 | Effects of prenatal multiple micronutrient supplementation on growth and cognition through 2 y of age in rural Bangladesh: the JiVitA-3 Trial |
| West 2014 | Effect of maternal multiple micronutrient vs iron-folic acid supplementation on infant mortality and adverse birth outcomes in rural Bangladesh: the JiVitA-3 randomized trial. | ||
| Kumbhojkar 201655 | NR | Kumbhojkar 2016 | Kangaroo Mother Care (KMC): An Alternative to Conventional Method of Care for Low Birth Weight Babies |
| Le Roux 201356,57 | NCT00996528 | Le Roux 2013 | Outcomes of home visits for pregnant mothers and their infants: a cluster randomized controlled trial |
| Rotheram-Borus 2014 | A Cluster Randomised Controlled Effectiveness Trial Evaluating Perinatal Home Visiting among South African Mothers/Infants | ||
| Locks 201658,59 | NCT00421668 | Locks 2016 | Effect of zinc and multivitamin supplementation on the growth of Tanzanian children aged 6–84 wk: a randomized, placebo-controlled, double-blind trial |
| Locks L 2015 | Effect of zinc & multiple micronutrient supplements on growth in tanzanian children | ||
| Lonnerdal 201760 | NCT00970398 | Lonnerdal 2017 | Growth, Nutrition, and Cytokine Response of Breast- fed Infants and Infants Fed Formula With Added Bovine Osteopontin |
| LUCOMAI61 | NCT01977365 | Nikiema 2017 | Effectiveness of facility-based personalized maternal nutrition counseling in improving child growth and morbidity up to 18 months: A cluster-randomized controlled trial in rural Burkina Faso |
| MDIG62 | NCT01924013 | Roth 2018 | Vitamin D Supplementation in Pregnancy and Lactation and Infant Growth |
| Mofid 201738 | NCT01748929 | Mofid 2017 | A Double-Blind Randomized Controlled Trial of Maternal Postpartum Deworming to Improve Infant Weight Gain in the Peruvian Amazon |
| Osendarp 200263 | NR | Osendarp 2002 | Effect of zinc supplementation between 1 and 6 mo of life on growth and morbidity of Bangladeshi infants in urban slums on the mental development of Bangladeshi infants |
| Ostadrahimi 201764 | NR | Ostadrahimi 2017 | The effect of perinatal fish oil supplementation on neurodevelopment and growth of infants: a randomized controlled trial |
| PROCOMIDA37 | NCT01072279 | Olney 2018 | Procomida, a food-assisted maternal and child health and nutrition program, reduces child stunting in guatemala: A cluster-randomized controlled intervention trial |
| PROMISE EBF65–67 | NCT00397150 | Engebretsen 2014 | Growth effects of exclusive breastfeeding promotion by peer counsellors in sub-Saharan Africa: the cluster-randomised PROMISE EBF trial |
| Fadnes 2016 | Effects of an exclusive breastfeeding intervention for six months on growth patterns of 4–5 year old children in Uganda: the cluster-randomised PROMISE EBF trial | ||
| Tylleskar 2011 | Exclusive breastfeeding promotion by peer counsellors in sub-Saharan Africa (PROMISE-EBF): a cluster-randomised trial. | ||
| RDNS36,68 | NCT01715038 | Dewey 2017 | Lipid-based nutrient supplementation in the first 1000 d improves child growth in Bangladesh: a cluster-randomized effectiveness trial |
| Mridha 2016 | Lipid-based nutrient supplements for pregnant women reduce newborn stunting in a cluster-randomized controlled effectiveness trial in Bangladesh | ||
| Shafique 201639 | NCT01455636 | Shafique 2016 | Mineral- and vitamin-enhanced micronutrient powder reduces stunting in full-term low-birth-weight infants receiving nutrition, health, and hygiene education: A 2 × 2 factorial, cluster-randomized trial in bangladesh |
| Simondon 199640 | NR | Simondon 1996 | Effect of early, short-term supplementation on weight and linear growth of 4-7-mo-old infants in developing countries: a four-country randomized triaI |
| Suman 200869 | NR | Suman 2008 | Kangaroo mother care for low birth weight infants: a randomized controlled trial |
| Urban 200870 | NR | Urban 2008 | Growth of infants born to HIV infected women when fed a biologically acidified starter formula with and without probiotics |
| Vazir 201371 | NR | Vazir 2013 | Cluster-randomized trial on complementary and responsive feeding education to caregivers found improved dietary intake, growth, and development among rural Indian toddlers |
| Velaphi 200872 | NR | Velaphi 2008 | Growth and metabolism of infants born to women infected with human immunodeficiency virus and fed acidified whey- adapted starter formulas |
The trial characteristics of the included studies (Extended data, Supplementary Table 6)25 are provided in the online appendix. Of the 29 included trials, ten were cluster randomized trials (1156 clusters; 24,389 mother-infant dyads). The majority of trials were conducted in Southeastern Asian (n = 14) and African (n = 10) countries, and involved individual randomization (i.e. non-cluster trials, n = 19) and were open-label trials (n = 9). Several trials (n = 24) focused on a single domain of interventions, with micronutrient (n = 11) and food supplements (n = 9) being the most common intervention domains investigated. There were four trials that investigated interventions from two different intervention domains34–37, but the scope of these trials was still limited to nutritional (micronutrient and food) supplementations. There was one trial reporting on deworming study38 and another on WASH intervention39, and there were five trials on kangaroo care. There were 24 trials that investigated other intervention domains (non-kangaroo care trials), the median duration of interventions was 24 weeks (IQR: 12, 24 weeks). The kangaroo care trials entailed short follow-ups, with intervention durations that varied between one to two weeks.
The patient baseline characteristics are provided in the online appendix (Extended data, Supplementary Table 7)25. The median age of mothers at enrollment was 25.4 years (ranging from 21.8 to 29.8 years). For infants, the majority of trials enrolled participants from birth (after follow-up of the mother) or within the first month of life, except one trial40 that investigated the effects of food supplements for an early weaning off breastfeeding enrolled patients at 4 months of age (up to 7 months of age). The proportion of boys included in these trials was 51.3% on average, ranging from 36.6%39 to 73%41.
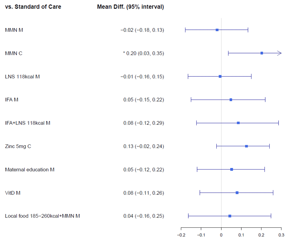
The LAZ network (Extended data, Supplementary Figure 1)25 included 18 trials consisting of 27,896 mother-infant dyads randomized to 52 intervention arms. The results of our primary analysis on LAZ that included both cluster and non-cluster randomized clinical trials are illustrated in Figure 3. Among micronutrient supplements, multiple micronutrients supplementation (MMN) provided to infants improved LAZ relative to standard-of-care (MMN-C, mean difference: 0.20, 95% CrI: 0.03, 0.35), whereas supplementing breasting mothers with MMN did not improve LAZ (MMN-M, mean difference: -0.02, 95% CrI: -0.18, 0.13). Compared to standard of care, other micronutrient supplements to infants, such as zinc 5 mg (zinc 5 mg C) showed a trend towards improved LAZ, but its CrIs overlapped the null of effect of 0.00 (Mean difference: 0.13; 95% CrI: -0.02, 0.24). Also, other micronutrients to breastfeeding mothers, such as iron and folic acid (IFA-M, mean difference: 0.05, 95% CrI: -0.15, 0.22) and vitamin D (Vit D-M: mean difference: 0.08, 95% CrI: -0.11, 0.26), did not improve LAZ in comparison to standard of care. Similarly, both food supplements and maternal education interventions did not improve LAZ; for instance, in comparison to standard-of-care, combination of IFA and 118 kcal of lipid-based nutrient supplements (IFA+LNS 118 kcal-M) showed a mean difference of 0.08 cm (95% CrI: -0.12, 0.29) for LAZ, where maternal education showed a mean difference of 0.05 cm (95% CrI: -0.12, 0.22 cm). No deworming or WASH interventions showed improvements on LAZ.
The stunting network (Extended data, Supplementary Figure 3)25 included 18 trials that consisted of 27,896 mother-infant dyads randomized to 52 intervention arms. The results of our primary analysis that included both cluster and non-cluster randomized clinical trials are illustrated in Extended data, Supplementary Figure 925. While supplementations of zinc to infants (Zinc 5 mg-C, relative risk [RR]: 0.82, 95% CrI: 0.56, 1.18) and local food supplement within the caloric range of 185–260 kcal fortified with MMN for mothers (Local food 185–260 kcal + MMN M, RR: 0.85, 95% CrI: 0.46, 1.46) showed a trend towards reduced risk of stunting, their CrIs contained the null effect of 1.00. In fact, no interventions demonstrated any improvements towards reducing the risk of stunting.
Our sensitivity analyses were limited to individually (non-cluster) randomized clinical trials only. The network diagrams for LAZ (Extended data, Supplementary Figure 2)25 and stunting (Extended data, Supplementary Figure 4)25 can be found online along with forest plots (Extended data, Supplementary Figures 10 and 11)25 and cross-tables (Extended data, Supplementary Table 9 and 10)25. In our sensitivity analysis on LAZ, no interventions showed improvements for LAZ when compared to standard-of-care, and similarly for stunting, no interventions showed reduced risks for stunting. This is likely due to very few studies being available for sensitivity analyses; only nine trials were available for LAZ and stunting analyses.
Five randomized clinical trials investigating the effects of kangaroo care on linear growth of newborns were included in the pairwise meta-analysis41,45,48,55,69. The outcome reporting of these kangaroo care trials was limited to growth velocity of head circumference and length (cm per week). All kangaroo care trials were conducted in Southeastern Asian countries (i.e. India, Malaysia, and Nepal), in hospital settings and involved low birthweight neonates. Kangaroo care consisted of skin-to-skin contact between the mothers’ breasts, where infants in the control group were kept under either a warmer or incubator. The effects of kangaroo care on head circumference and length growth velocities are shown in Extended data, Supplementary Figures 12 and 1325, respectively. All studies except for Acharya 201441 showed improvements in head circumference (Mean (SD): 31.5 (1.4) 95%CI -0.5, 0.645; Kangaroo mother care (KMC): 0.75 cm vs conventional method of care (CMC): 0.49 cm p<0.00155;) and length (KMC: 0.99 cm vs CMC 0.70 cm p<0.00155). The pooled estimates of growth velocities for head circumference and length showed improvements for kangaroo care in comparison to the control. Relative to the control, kangaroo care showed an improved mean difference of 0.20 cm/week (95% CI: 0.09, 0.31 cm/week) for head circumference, and for length, a mean difference of 0.23 cm/week (95% CI: 0.10, 0.35 cm/week).
There were twelve trials available for our qualitative summary37,38,40,47,51,53,56,60,63–65,71. Of these trials, three were cluster randomized clinical trials that investigated interventions related to maternal education and breastfeeding promotion: Le Roux56 Vazir71, and PROMISE EBF65 did not find differences in their maternal education and breastfeeding promotion interventions. In this three-arm trial conducted in India, mothers in the Complementary Feeding group (n = 202; 20 clusters) received nutrition education messages on breastfeeding and complementary feeding from CHWs, and the mothers in the Complementary Feeding + Play group (n = 195; 20 clusters) received messages on psychosocial stimulation in addition to the same nutritional messages received by the women in the complementary feeding group (the control group received local standard of care; n = 202; 20 clusters). The mothers were approached by the trial investigators during pregnancy, and the interventions began when their child was three months old. By the age of six months, this trial found no differences in terms of length between the three groups (Mean ± SD: Control group: 64.2 ± 2.3; Complementary Feeding group: 64.4 ± 2.5 cm; and Complementary Feeding + Play group: 64.2 ± 2.3).
Additionally, nine trials investigated the effect of nutritional interventions (four trials on micronutrient supplements, three on food supplements, one on both, and one other for deworming) on the incidence of changes in head circumference, or changes in length37,38,40,47,53,60,63,64,71. Of these nine trials, JiVitA-3 trial53,54,73 and Ostadrahimi64 provided supplements to mothers from pregnancy into postpartum, where the other five trials provided supplements to children. PROCOMIDA37 provided food to the entire family. Ostadrahimi64 enrolled pregnant women from the 20th week of gestational age and were provided daily fish oil supplements (120 mg docosahexaenoic acid and 180 mg eicosapentaenoic acid) or placebo up to 1 month into the postpartum, with their child being followed-up up to six months of age. At the 6-month assessment of this trial, there were no differences found in neither length (mean difference: 0.12, 95% CI: -0.52, 0.76) or head circumference (mean difference: -0.03, 95% CI: -0.38, 0.30) between the fish oil and placebo groups. Mofid38 found that deworming interventions provided to mothers who tested positive for soil-transmitted helminth infection at baseline had a positive impact on mean length gain (Mean difference: 0.8; 95% CI: 0.1, 1.4) and LAZ (mean difference:0.5; 95% CI: 0.2, 0.8) of infants at six months of age.
Three of the five trials investigated the effectiveness of micronutrient supplements administered directly to children47,60,63. In Feliciano47, three different dosages of Vitamin D supplements (daily dose of 100, 200, and 400 IU) were provided to Chinese infants from birth up to six months of age; at the 6-months assessment, differences in length between the three groups were observed. Another placebo-controlled trial63 conducted in Bangladesh found that daily zinc supplements (5 mg) to children between the age of one month to six months did not change the length or head circumference.
There were two trials that explored the role of food supplements to children. Simondon et al.40 was a multi-national trial (Congo, Sengal, Bolivia, and New Caledonia) that randomized four-month old infants to either cereal-based precooked porridge fortified with MMN or the control group consisting of local food. The mean consumption of supplement varied from 133 to 189 kcal/day. There were no differences in length (cm) between the supplemented and control groups in all four countries at six months of age. In Lonnerdal et al.60, one-month old infants of non-breastfeeding mothers were randomized to receive regular formula or formula fortified with bovine osteopontin (65 or 130 mg/L). There were no differences in length or head circumference between children who were randomized to different formula groups. This trial also recruited infants whose mothers had expressed the desire to exclusively breastfeed up to six months of age and used this breastfeeding group as a non-randomized control. The breastfeeding group had a higher mean head circumference but similar length at six months of age.
Despite recent global achievements towards improved MNCH, the existing evidence on exclusive breastfeeding period interventions for linear growth remains unclear. Our study aimed to improve the current evidence base by assessing the comparative effectiveness of interventions across several domains: micronutrients, food supplements, maternal education, WASH, deworming, and kangaroo care. Both network meta-analysis and pairwise meta-analysis techniques were undertaken to appraise and synthesize findings from relevant studies reporting the desired outcomes for infants of age 0–6 months in LMICs (i.e. LAZ and proportion of stunted), and due to limited number of studies, length and head circumference were summarized qualitatively.
We found that MMN supplementation to infants (i.e. MMN-C) was the only intervention that showed important improvement for linear growth during the exclusive breastfeeding period. However, this finding was limited to only one trial in the study58. Our analysis of kangaroo care also exhibited important improvements in growth in terms of increased head circumference and length growth velocity. However, kangaroo care interventions were excluded from the network meta-analysis and were analyzed separately via pairwise meta-analysis. This was due to the specific nature of this type of intervention, consisting of skin-to-skin contact between mothers’ breasts during a precise period for a limited duration (of between 1 and 6 weeks). In relation to this point was the observed heterogeneity in the intervention duration between included studies, generally, creating an added challenge when making comparisons across interventions. Deworming and WASH interventions did not show any improvements in both LAZ and stunting.
The main strength of this study was the use of network meta-analysis to assess the effectiveness of different interventions from a large network of evidence compared to standard-of-care74. Previous reviews have focused only on intervention(s) within a single domain (Table 1). We used a broad evidence base that included multiple interventions from different domains to simultaneously analyze all potential treatment options and make full use of the available evidence within a single analysis75,76. Additionally, appropriate statistical adjustments were made for clustering effects of cluster randomized clinical trials to enable the convergence of cluster and non-cluster trials for our network meta-analysis. Nevertheless, the narrow parameters of our PICOS criteria may have limited the breadth of our evidence base. Ethical and resource challenges associated with conducting clinical trials with neonates may have influenced investigators’ decision to undertake other non-randomized methodological approaches, such as observational studies. Additionally, since our population of interest focused on newborns living in LMICs, this prevented the inclusion of several trials conducted in non-LMICs. A number of studies assessed the effectiveness of long chain poly unsaturated fatty acids77–79; an intervention that has demonstrated some promise for improving linear growth in neonates compared to standard of care. As these trials were limited to high income settings, we were unable to incorporate this data into our analyses.
In general, our analysis revealed that the existing evidence base for improving linear growth during the exclusive breastfeeding period is limited. Our scan and appraisal of the evidence resulted in a paucity of studies focused on this early life stage. The scarcity of evidence for this early life stage could be explained by several factors. Generally, clinical trials involving neonates are considerably more difficult to perform due to a range of ethical, physiological, pharmacometric, and economic challenges80. Obtaining ethical clearance for enrolling neonates can be extremely tasking, particularly with the need to preserve equipoise between intervention arms through balancing risk factors across intervention groups80. Such complexities can complicate both the study design and recruitment, especially as it pertains to trials conducted in resource scarce settings81. These reasons may explain to why the current evidence base for exclusive breastfeeding period is limited.
More clinical trial research is needed for the EBF period. To enhance the quality of evidence, it will beneficial if trials in the future will utilize more efficient trial designs, such as adaptive trial designs, that can better manage the range of uncertainties that may be associated with investigations focused on neonates82,83. It is important for mothers and infants living in resource limited settings that our assessment of interventions is thorough and appropriate for diverse contexts and settings. This will be a critical step to achieve the global goal of achieving a 40% reduction in the number of stunted children <5 years by 202584.
All data underlying the results are available as part of the article and no additional source data are required.
Open Science Framework: Interventions to improve linear growth during exclusive breastfeeding life-stage for children aged 0–6 months living in low- and middle-income countries: a systematic review and network and pairwise meta-analyses. https://doi.org/10.17605/OSF.IO/46HMQ25
File ‘EBF period NMA - Supplementary tables and figures - v2.0’ contains the following extended data:
Appendix 1. Literature search strategy. (Contains Supplementary Tables 1–3.)
Appendix 2. Details to our statistical analysis.
Appendix 3. List of included and excluded studies after full-text review. (Contains Supplementary Tables 4 and 5.)
Appendix 4. Details of the evidence base. (Contains Supplementary Tables 6 and 7.)
Appendix 5. Bias Assessment. (Contains Supplementary Table 8.)
Appendix 6. The intervention networks for LAZ and stunting. (Contains Supplementary Figures 1–4.)
Appendix 7. Primary analysis leverage and consistency plots. (Contains Supplementary Figures 5–8.)
Appendix 8. Forest plots, cluster and non-cluster trials. (Contains Supplementary Figures 9–11.)
Appendix 9. Forest plots for kangaroo care (Contains Supplementary Figures 12 and 13.)
Appendix 10. Cross tables for LAZ and stunting. (Contains Supplementary Tables 9–12.)
Open Science Framework: PRISMA checklist for “Interventions to improve linear growth during exclusive breastfeeding life-stage for children aged 0–6 months living in low- and middle-income countries: a systematic review and network and pairwise meta-analyses.” https://doi.org/10.17605/OSF.IO/46HMQ25.
Data are available under the terms of the Creative Commons Attribution 4.0 International license (CC-BY 4.0).
JJHP, KT, and EJM conceptualized and designed the study. JJHP, ES, OH, LD, RM, VJ, NEZ, HG, KT, and EJM acquired, analyzed, and interpreted data. JJHP and ES drafted the manuscript. All authors critically revised the manuscript for important intellectual content. JJHP, OH, KT, and EJM did the statistical analysis. EJM obtained funding. KT and EJM provided administrative, technical, and material support. KT and EJM supervised the study.
KT and EJM had full access of all of the data in the study. EJM was responsible for the integrity of the data, accuracy of the data analysis, and the final decision to submit for publication.
| Views | Downloads | |
|---|---|---|
| Gates Open Research | - | - |
|
PubMed Central
Data from PMC are received and updated monthly.
|
- | - |
Are the rationale for, and objectives of, the Systematic Review clearly stated?
Partly
Are sufficient details of the methods and analysis provided to allow replication by others?
Yes
Is the statistical analysis and its interpretation appropriate?
I cannot comment. A qualified statistician is required.
Are the conclusions drawn adequately supported by the results presented in the review?
Yes
Competing Interests: No competing interests were disclosed.
Reviewer Expertise: Nutrition.
Are the rationale for, and objectives of, the Systematic Review clearly stated?
Yes
Are sufficient details of the methods and analysis provided to allow replication by others?
Yes
Is the statistical analysis and its interpretation appropriate?
Partly
Are the conclusions drawn adequately supported by the results presented in the review?
Partly
Competing Interests: No competing interests were disclosed.
Reviewer Expertise: Infection and nutrition in infants and children; clinical trials; cohort studies; anthropometry.
Alongside their report, reviewers assign a status to the article:
| Invited Reviewers | ||
|---|---|---|
| 1 | 2 | |
|
Version 2 (revision) 24 Sep 20 |
read | |
|
Version 1 03 Dec 19 |
read | read |
Provide sufficient details of any financial or non-financial competing interests to enable users to assess whether your comments might lead a reasonable person to question your impartiality. Consider the following examples, but note that this is not an exhaustive list:
Sign up for content alerts and receive a weekly or monthly email with all newly published articles
Register with Gates Open Research
Already registered? Sign in
If you are a previous or current Gates grant holder, sign up for information about developments, publishing and publications from Gates Open Research.
We'll keep you updated on any major new updates to Gates Open Research
The email address should be the one you originally registered with F1000.
You registered with F1000 via Google, so we cannot reset your password.
To sign in, please click here.
If you still need help with your Google account password, please click here.
You registered with F1000 via Facebook, so we cannot reset your password.
To sign in, please click here.
If you still need help with your Facebook account password, please click here.
If your email address is registered with us, we will email you instructions to reset your password.
If you think you should have received this email but it has not arrived, please check your spam filters and/or contact for further assistance.
Comments on this article Comments (0)