Skip to content
ALL Metrics
-
Views
-
Downloads
Get PDF
Get XML
Cite
Export
Track
Research Article

Facility conditions, obstetric and neonatal care practices, and availability of emergency obstetric and neonatal care in 72 rural health facilities in the Democratic Republic of the Congo: A cross-sectional study

[version 1; peer review: 1 approved, 1 approved with reservations]
PUBLISHED 05 Feb 2019
Author details Author details

Abstract

Background: Current facility conditions, obstetric and neonatal care practices, and availability of emergency obstetric and neonatal care (EmONC) were assessed in the Kwango and Kwilu provinces of the Democratic Republic of the Congo (DRC).
Methods: This is an analysis of the baseline survey data from an ongoing clinical mentoring program among 72 rural health facilities in the DRC. Data collectors visited each of the facilities and collected data through a pre-programmed smartphone. Frequencies of selected indicators were calculated by province and facility type—general referral hospital (GRH) and primary health centers (HC).
Results: Facility conditions varied across province and facility type. Maternity wards and delivery rooms were available in the highest frequency of rooms assessed (>95% of all facilities). Drinking water was available in 25.0% of all facilities; electricity was available in 49.2% of labor rooms and 67.6% of delivery rooms in all facilities. Antenatal, delivery, and postnatal care services were available but varied across facilities. While the proportion of blood pressure measured during antenatal care was high (94.9%), the antenatal screening rate for proteinuria was low (14.7%). The use of uterotonics immediately after birth was observed in high numbers across both provinces (94.4% in Kwango and 75.6% in Kwilu) and facility type (91.3% in GRH and 81.4% in HC). The provision of immediate postnatal care to mothers every 15 minutes was provided in less than 50% of all facilities. GRH facilities generally had higher frequencies of available equipment and more services available than HC. GRH facilities provided an average of 6 EmONC signal functions (range: 2-9).
Conclusions: Despite poor facility conditions and a lack of supplies, GRH and HC facilities were able to provide EmONC care in rural DRC. These findings could guide the provision of essential needs to the health facilities for better delivery of maternal and neonatal care.

Keywords

Clinical mentoring, Democratic Republic of the Congo, emergency obstetric and neonatal care, maternal and newborn health

List of abbreviations

DRC: The Democratic Republic of the Congo

EMEN: Every Mother Every Newborn

EmONC: Emergency obstetric and neonatal care

GRH: General referral hospital

HC: Primary health center

MNH: Maternal and newborn health

ODK: Open Data Kit

UNICEF: The United Nations International Children's Emergency Fund

Introduction

Maternal and neonatal deaths are a global issue but disproportionately affect low- or middle-income countries. An estimated 99% of maternal deaths occur in low- or middle-income countries, and nearly two-thirds occur in the sub-Saharan African regions1. There are an estimated three newborn deaths per 1,000 live births in high-income countries compared to 27 newborn deaths per 1,000 live births in low-income countries1,2. Many maternal and newborn deaths are a result of preventable complications during pregnancy and childbirth and immediately after birth. Common causes for maternal deaths include severe bleeding, infections, hypertensive disorders in pregnancy, or delivery complications; for newborns, common causes of death are premature birth, infections, or labor and delivery complications2. Strategies aimed to reduce maternal and neonatal deaths are centered around improving quality and access to antepartum or antenatal care, delivery assisted by a skilled birth attendant, increasing rates of institutional deliveries for better access to intrapartum and postpartum care, and ensuring availability of life saving drugs as well as the good quality of health facility conditions1,2.

Despite a 30% decrease in maternal mortality since 1990, the maternal mortality ratio in the Democratic Republic of the Congo (DRC) is still among the highest in the world (846 maternal deaths/100,000 live births)2,3. Similarly, while neonatal mortality has decreased by 33% since 2007, the neonatal mortality rates also remain high (28 newborn deaths/1,000 live births) and contribute to 4% of global newborn deaths3. The DRC boasts one of the highest rates of institutional deliveries in sub-Saharan Africa (80%), with eight out of every ten births also assisted by a skilled provider3. This situation points to the in-facility quality of maternal and newborn care. To further reduce maternal and neonatal mortality, we are designing and implementing a clinical mentoring program aimed at improving health providers’ skills, knowledge, and attitude to provide a better quality of maternal and newborn care in the DRC46.

Many factors can affect healthcare providers’ effective delivery of high quality care at the facility-level; important factors include the professional environment (e.g., structure) and availability of essential drugs and supplies for provision of emergency obstetric and neonatal care7,8. These basic needs are often lacking in the low-resource settings of sub-Sahara African countries8,9. Therefore, before implementing a clinical mentoring intervention program to improve quality of maternal and neonatal care, it is important to assess and understand the current facility conditions, obstetric and neonatal care practices, and availability of emergency obstetric and neonatal care in the health facilities. The objective of this paper is to describe the current facility conditions, obstetric and neonatal care practices (skills, knowledge, and attitudes), and availability and use of emergency obstetric and neonatal care (EmONC) among a sample of 72 rural health facilities in the Kwango and Kwilu provinces, DRC.

Methods

Setting and health facility selection

This study is an analysis of the baseline survey data from an ongoing project of “Improving the Quality of Maternal and Newborn Health Outcomes through the Development of a Model of Clinical Mentorship in DRC,” including 72 health facilities in the Kwangu and Kwilu provinces of the DRC, funded by the Bill & Melinda Gates Foundation (grant number OPP1144354). For the clinical mentoring project, among the 72 health facilities selected in this study, 48 were assigned to receive clinical mentoring intervention and 24 were assigned not to receive clinical mentoring intervention as a control group by the Ministry of Health and UNICEF in the DRC. After completion of the baseline survey, the Ministry of Health and UNICEF in the DRC will then implement a 24-month period clinical mentoring program in the group of 48 facilities. Process and outcome data on key maternal and newborn health (MNH) indicators will be collected to assess the performance of the clinical mentors and mentees, as well as the clinical mentoring program. Upon completion of the clinical mentoring implementation, we will conduct an endline survey on the same 72 facilities. We will compare MNH indicators collected from the endline survey of the intervention to baseline data, as well as between the groups with and without the implementation of the clinical mentorship program to assess the effectiveness of the clinical mentoring program.

For the present analysis of the baseline survey data, the final 72 facilities were a combination of two phases of baseline data collection. The first phase of data collection was conducted June–September 2017 and the second phase of data collection was conducted from December 2017–May 2018 (Figure 1). These 72 health facilities were selected by the DRC Ministry of Health and UNICEF, taking into account the coverage of health zones (each health zone usually includes at least one general referral hospital (GRH) and its affiliated primary health centers (HC)), accessibility, and ease of implementation for the clinical mentoring program. In each health zone, at least one GRH and its affiliated HCs were selected (Figure 1).

4828b09f-62c2-4eab-86a3-ad1b5374b6b4_figure1.gif

Figure 1. Health facility selection.

Ethics statement

This project was approved by Tulane Instuitional Review Board (IRB) (Reference number: 16-915240) and Kinshasa University School of Public Health Ethics Committee (Approval number: ESP/CE/087/2016).

Survey formation

To conduct the surveys, the data collectors visited each of the 72 health facilities. During the visits, the data collector used a pre-programmed, smartphone-based application, Open Data Kit10 (ODK Collect v1.16), to complete the following questionnaires:

  • 1) Facility condition form: This checklist includes an assessment of infrastructure, equipment, medicines & supplies, water supply & electricity, and staffing (see Supplementary Table 111).

  • 2) Health providers obstetric and neonatal care practice checklist: This checklist was created based on criteria from Every Mother, Every Newborn (EMEN) Quality Improvement Guide for Health Facility Staff 12. Final indicators were determined based on the feasibility to measure these indicators in the field. These indicators cover evidence-based practices during antenatal, labor, delivery, and postnatal care and were used to measure healthcare providers’ skills, knowledge, and attitude during MNH care12. After obtaining informed consent from health care providers, the data collector observed health care providers' routine MNH care practices for ten antenatal care visits and two deliveries at each health facility (see Supplementary Table 211).

  • 3) A 3-month delivery record review and extraction: A data extraction form was created to identify selected maternal and infant morbidity and mortality outcomes (see Supplementary Table 311). When available, data on comprehensive EmONC measures was also collected (e.g., manual removal of the placenta or removal of residual retained products).

  • 4) Emergency Obstetric and Newborn Care Needs Assessment (EmONC): Data on EmONC were collected to assess the availability of Basic (BEmONC) for primary health centers and Comprehensive (CEmONC) for general referral hospitals13. EmONC data was aggregated from the facility condition checklist and three-month delivery record (see Supplementary Table 411).

Data collection

A total of six native speaking data collectors who had previous research or survey experience were recruited to conduct the baseline surveys. Data collectors were provided with a motorbike for travel to health facilities. Each of the six data collectors visited an average of one health facility per week and stayed at each health facility for 4–6 days. Data collection was completed via questionnaires programmed in Android phones using the ODK system. At each hospital or clinic, all healthcare providers who perform maternal and neonatal care were deemed eligible and subsequently approached to participate in the survey. Healthcare providers who agreed to participate signed a written informed consent that allowed the data collector to observe their routine maternal and neonatal care practice for ten antenatal care visits and two deliveries; we refer to these unique observations as provider-patient pairs. In addition, the data collectors completed the facility condition assessment and 3-month delivery extraction forms. Upon completion of observations, data collectors submitted the ODK forms to a protected server, where data was aggregated by the research team at the Tulane University Project Coordinating Center in New Orleans, USA.

Quality assurance and control

Data collectors were trained on how to use the ODK data collection system, how to ride their motorbikes, and how to complete the questionnaires and observations for the selected key indicators prior to the surveys. To ensure a high quality of data collection, a data collection coordination office was established in the capital city of Kikwit in Kwango province. A data coordinator organized and supervised the six data collectors to visit the GRHs and HCs. Hard copies of completed consent forms, delivery records, and questionnaires or facility condition assessment forms were delivered to the Kikwit office when completing the surveys in case there were errors with the ODK system. Additional quality control was managed in two ways: (1) ODK GPS data and server monitoring by the research team in the Tulane University Project Coordinating Center in New Orleans; and (2) weekly Skype calls between the Kinshasa School of Public Health and Tulane University teams to monitor study progress and discuss any issues or challenges raised while fielding the surveys.

Statistical analysis

Variables. This analysis used quantitative data from the facility condition assessment report. For facility condition data, availability was defined as a combination of medicines, supplies, and physical space that was both available and valid/functional or available and not valid/functional (raw data shown in Supplementary Table 511). Indicators from the antenatal care, labor, delivery, and postnatal care questionnaires were selected that related to EmONC. EmONC signal functions were compiled from the facility condition form based upon availability of supplies (e.g., antibiotics or a newborn ventilation kit were available) as well as the 3-month delivery record abstraction (Supplementary Table 311). Proportions of availability for all measures were generated and summed in order to understand the structural capacity to provide a package of EmONC care.

Analysis. Frequencies and percentages of facility conditions and MNH indicators of antenatal care, labor, delivery, and postnatal care were calculated for the final 72 facilities in aggregate, by province (Kwango and Kwilu), and by facility type (GRH and HC). Fisher’s exact test was used for bivariate comparisons of difference in the indicators between province and facility type. A majority of our expected cell counts were less than five; for continuity in the results, we used the more conservative estimate of Fisher’s exact test for the few relationships with expected cell counts greater than five. When cell count was greater than five, there was no change in significance between Pearson’s or Fisher’s exact test (data not shown). SAS Version 9.4 was used for all statistical analyses (SAS Institute Inc., Cary, NC).

Results

Facility condition

Among 72 health facilities, facility conditions were variable, as outlined in Table 1. Maternity wards (n=70, 97.2%) and delivery rooms (n=71, 98.6%) had the highest overall availability among the six rooms assessed per facility. This pattern was observed across both province and facility type. Among all facilities, 40.3% (n=29) had room for antenatal care, 46.5% (n=33) had room for labor, and 38.9% (n=28) had room for surgical intervention. Two-thirds of GRH facilities had room for labor (66.7%, n=8) and 42.4% (n=25) of HC facilities had room for labor. Room for surgical intervention was available in 55.6% (n=15) of facilities in Kwango, 28.9% (n=13) of facilities in Kwilu, 91.7% (n=11) of GRH facilities, and 28.3% (n=17) of HC facilities. There was a difference in the availability of rooms for surgical intervention by province (p<0.05) and facility type (p<0.001).

Table 1. Select indicators of facility conditions among 72 rural health facilities in the Democratic Republic of the Congo.

IndicatorsAllProvinceP-valueFacility TypeP-value
Kwango
(N=27)
Kwilu
(N=45)
GRH
(N=12)
HC (N=60)
N (%)N (%)N (%)N (%)N (%)
Infrastructure
  Room for:
        Antenatal care29 (40.3)10 (37.0)19 (42.2)0.8055 (58.3)24 (40.0)1.00
        Consultation37 (51.4)16 (59.3)21 (46.7)0.3385 (41.7)32 (53.3)0.537
        Labor33 (46.5)9 (33.3)24 (54.6)0.0938 (66.7)25 (42.4)0.203
        Delivery71 (98.6)26 (96.3)45 (100.0)0.37512 (100.0)59 (98.3)1.00
        Surgical Intervention28 (38.9)15 (55.6)13 (28.9)0.045*11 (91.7)17 (28.3)<0.001*
        Maternity Wards70 (97.2)27 (100.0)43 (95.6)0.52512 (100.0)58 (96.7)1.00
Water and Electricity
  Currently supplied with
  drinking water
18 (25.0)4 (14.8)14 (31.1)0.1645 (41.7)13 (21.7)0.160
  Electricity available in the
  following rooms:
        Consultation34 (49.3)14 (56.0)20 (45.5)0.4587 (58.3)27 (47.4)0.540
        Labor31 (49.2)6 (31.6)25 (56.8)0.0997 (63.6)24 (46.2)0.337
        Delivery48 (67.6)17 (63.0)31 (70.5)0.60410 (83.3)38 (64.4)0.314
        Maternity50 (69.4)19 (70.4)31 (68.9)1.0010 (83.3)40 (66.7)0.322
        Operating24 (37.5)12 (54.6)12 (28.6)0.05810 (83.3)14 (26.9)<0.001*
Equipment
   Adult Weigh Scale65 (90.3)25 (92.6)40 (88.9)0.70412 (100.0)53 (83.3)0.592
   Delivery Table65 (90.3)25 (92.6)40 (88.9)0.70412 (100.0)53 (83.3)0.592
   Blood Pressure Device58 (81.7)22 (81.5)36 (81.8)1.0011 (91.7)47 (79.7)0.444
   Stethoscope63 (97.5)24 (88.9)39 (86.7)1.0012 (100.0)51 (85.0)0.340
   Fetoscope70 (97.2)26 (96.3)44 (97.8)1.0012 (100.0)58 (96.7)1.00
   Partogram48 (66.7)18 (66.7)30 (66.7)1.0012 (100.0)36 (60.0)0.006*
   Forceps9 (12.7)6 (22.2)3 (6.8)0.0756 (50.0)3 (5.1)<0.001*
   Vacuum Extractor21 (29.2)12 (44.4)9 (20.0)0.035*10 (83.3)11 (18.3)<0.001*
   Delivery Kit58 (80.6)23 (85.2)35 (77.8)0.54711 (91.7)47 (78.3)0.439
   Cesarean Section Kit26 (36.1)14 (51.9)12 (26.7)0.043*11 (91.7)15 (25.0)<0.001*
   Manual Intra-Uterine
   Suction Kit
8 (11.3)3 (11.1)5 (11.4)1.007 (58.3)1 (1.7)<0.001*
   Newborn Suction Device12 (16.7)7 (25.9)5 (11.1)0.1175 (41.7)7 (11.7)0.023*
   Manual Newborn
   Ventilation Kit
16 (22.5)7 (25.9)9 (20.4)0.77110 (83.3)6 (10.2)<0.001*
   Oxygen Bottle5 (6.9)3 (11.1)2 (4.4)0.3572 (16.7)3 (5.0)0.191
   Newborn Incubator7 (9.7)1 (3.7)6 (13.3)0.2445 (41.7)2 (3.3)0.001*
   Kangaroo Mother Care Kit8 (11.1)8 (29.6)0 (0.0)<0.001*2 (16.7)6 (10.0)0.613
Medicines and Supplies
   Anti-convulsive
   (magnesium sulfate or
   diazepam)
54 (75.0)23 (85.2)31 (68.9)0.1649 (75.0)45 (75.0)1.00
   Anti-hypertensive
   (hydralazine)
15 (20.8)7 (25.9)8 (17.8)0.5504 (33.3)11 (18.3)0.258
   Iron-Folate55 (76.4)21 (77.8)34 (75.6)1.0010 (83.3)45 (75.0)0.719
   Ophthalmic antimicrobial
   (silver Nitrate 1%,
   tetracycline 1%)
46 (63.9)21 (77.8)25 (55.6)0.0779 (75.0)37 (61.7)0.517
   Anesthetic (lidocaine or
   other)
45 (62.5)20 (74.1)25 (55.6)0.1389 (75.0)36 (60.0)0.515
   Antibiotic (amoxicillin,
   Bactrim)
60 (83.3)23 (85.2)37 (82.2)1.009 (75.0)51 (85.0)0.408
   Oxytocic (Oxytocin)62 (86.1)24 (88.9)38 (84.4)0.73310 (83.3)52 (86.7)0.669
   Obstetrical gloves58 (80.6)21 (77.78)37 (82.2)0.76110 (83.3)48 (80.0)1.00
   Stitching materials46 (63.9)20 (74.1)26 (57.8)0.20911 (91.7)35 (58.3)0.045*
   Antiseptic solution57 (79.2)23 (85.2)34 (75.6)0.38410 (83.3)47 (78.3)1.00
   Umbilical cord clamping
   materials
33 (45.8)18 (66.7)15 (33.3)0.008*9 (75.0)24 (40.0)0.054

*p<0.05. GRH, generalized reference hospital; HC, health center

Facilities had low observed levels of drinking water supply overall, across province, and by facility type (Table 1). There was a statistically significant difference in the availability of electricity to operating rooms by facility type (p<0.001). Electricity in operating rooms was available in 83.3% (n=10) of GRH facilities and 26.9% (n=14) of HC facilities.

Adult weigh scales, delivery tables, blood pressure devices, stethoscopes, fetoscopes, and delivery kits were available in frequencies greater than 75% both overall and across the two comparison groups (Table 1). There was a statistically significant difference (p<0.05) between facility type in availability of partograms, forceps, vacuum extractors, cesarean section kits, manual intra-uterine suction kits, newborn suction devices, manual newborn ventilation kits, and newborn incubators (Table 1). Partograms were available in 100% of GRH facilities (n=12) and 60% of HC facilities (n=36). Forceps were available in 50% (n=6) of GRH facilities and in 5.1% (n=3) of HC facilities. Vacuum extractors (83.3%, n=10), cesarean section kits (91.7%, n=11), and delivery kits (9.2%, n=11) were available in the highest frequency for GRH facilities. Kangaroo mother care kits were not available in any facilities in Kwilu. There was a significant difference (p<0.05) by province in the availability of vacuum extractors, cesarean section kits, and kangaroo mother care kits.

Umbilical-cord-clamping materials and anti-hypertensive medicines and supplies were available in the lowest frequencies both overall and across comparison groups. Availability of umbilical-cord-clamping materials was the only statistically significant difference by province (p<0.01); umbilical cord clamping materials were available in 33.3% (n=14) of facilities in Kwilu and in 40% of HC facilities (n=24). There was a statistically significant difference between stitching materials (p<0.05) by facility type. Stitching materials were available in 91.7% (n=11) of GRH facilities but in only 58.3% of HC facilities (n=35). Differences in umbilical cord clamping by facility type approached statistical significance (p=0.053).

Obstetric and neonatal care practices

Healthcare provider recruitment. Among the 24 facilities from the phase one survey, 240 health care providers were eligible, 127 (52.9%) were approached, and 123 (96.9%) consented to be observed for their routine MNH care practices (Figure 2). Among the 48 facilities from the phase two survey, 272 health care providers were eligible, 234 (86.1%) were approached, and all health care providers approached consented to be observed (n=234, 100%). We refer to these unique observations as provider-patient pairs.

4828b09f-62c2-4eab-86a3-ad1b5374b6b4_figure2.gif

Figure 2. Recruitment of healthcare providers across baseline phase 1 and phase 2.

Antenatal care. An average of 10 provider-patient antenatal care pairs were observed per facility. A total of 740 observations of patient-provider antenatal care pairs were observed (Table 2). A total of 269 (36.4%) provider-patient pairs were observed in Kwango, 471 (63.6%) in Kwilu, 127 (17.2%) in GRH facilities, and 613 (82.8%) in HC facilities. Blood pressure was measured in 94.9% (n=702) of all facilities and at a similar frequency across all comparison groups. Conversely, proteinuria was measured in 14.7% (n=109) of all observed provider-patient pairs. The highest frequency of screening for proteinuria occurred in GRH facilities (57.5%, n=73). There is a significant difference in HIV screening (p<0.0001), anemia screening (p<0.001), and blood pressure measurement (p<0.01) by province; there is no consistency in observed provider-patient pair screenings by province. There was a significant difference in all included screening measures and blood pressure measurement by facility type (all p<0.05, Table 2). Blood pressure measurement was 95.9% (n=114) in HC facilities and 89.8% (n=114) in GRH facilities; for all other screening tests, there were higher frequencies of observed provider-patient pair screenings in GRH facilities compared to HC facilities.

Labor, delivery, and postnatal care. On average, two provider-patient pairs for labor, delivery, and postnatal care were observed per facility. A total of 136 labor, delivery, and postnatal care patient-provider pairs were observed (Table 2). There were 54 (39.7%) facilities in Kwango, 82 (60.3%) in Kwilu, 23 (16.9%) in GRH facilities, and 113 (83.1%) in HC facilities. There was a statistically significant difference in documentation of stage of labor (p<0.001), women’s receipt of a uterotonic (p=0.005), and chlorohexidine applied to the umbilicus (p<0.05) by province. For all indicators, the frequency observed was higher in Kwango than Kwilu. There was a statistically significant difference in the use of a partogram to monitor labor by facility type (p<0.01). Progress of labor monitored by using a partogram and use of chlorohexidine on the umbilicus followed by dry cord care were observed in lower frequencies than other selected labor indicators. After delivery, mothers were provided with immediate postnatal care every 15 minutes in less than 50% of facilities both overall and across all groups; a range of 35.2% in Kwango to 46.3% in Kwilu.

Table 2. Select indicators of antenatal, labor, and postnatal care among 72 rural health facilities in the Democratic Republic of the Congo.

IndicatorsAllProvinceP-valueFacility TypeP-value
KwangoKwiluGRHHC
N (%)N (%)N (%)N (%)N (%)
Antenatal CareN=740N=269N=471N=127N=613
          Anemia468 (63.2)114 (42.4)354 (75.2)<0.001*111 (87.4)357 (58.2)<0.001*
          Syphilis117 (15.8)43 (6.0)74 (15.7)0.91759 (46.5)58 (9.5)<0.001*
          HIV453 (61.2)234 (67.0)219 (46.5)<0.001* 117 (92.1)336 (54.8)<0.001*
          Proteinuria109 (14.7)37 (13.8)72 (15.3)0.59273 (57.5)35 (5.9)<0.001*
          Blood Pressure measured702 (94.9)247 (91.8)455 (96.6)0.009*114 (89.8)588 (95.9)0.008*
Labor and DeliveryN=136N=54N=82N=23N=113
   Stage of labor is documented106 (77.9)51 (94.4)55 (67.1)<0.001*21 (91.3)85 (75.2)0.105
   Progress of Labor monitored with
   partogram
52 (38.2)19 (35.2)33 (40.2)0.59216 (69.6)36 (31.9)0.002*
   Woman receives uterotonic
   immediately after birth
113 (83.1)51 (94.4)62 (75.6)0.005*21 (91.3)92 (81.4)0.364
   Immediate Newborn Care:
   Newborn is dried immediately and
   thoroughly
135 (99.3)54 (100.0)81 (98.8)1.0023 (100.0)112 (99.1)1.00
   Spontaneous breathing assessed at
   birth
134 (98.5)54 (100.0)80 (94.6)0.51823 (100.0)111 (98.2)1.00
   Cord is clamped and cut within
   1-3 minutes
128 (94.1)53 (98.2)75 (91.5)0.14523 (100.0)105 (92.9)0.351
   7.1% Chlorohexidine is applied to the
   umbilicus followed by dry cord care
24 (17.7)15 (27.8)9 (11.0)0.020*7 (30.4)17 (15.0)0.128
   Baby has skin to skin contact with
   mother for at least 30 minutes
99 (72.3)41 (75.9)58 (70.7)0.55916 (69.6)83 (73.5)0.798
Postnatal Care
   Immediate postnatal care is provided
   to mothers every 15 minutes during the
   first two hours
57 (41.9)19 (35.2)38 (46.3)0.21810 (43.5)47 (41.6)1.00

*p <0.05; †Number of observed provider-patient pairs. GRH, generalized reference hospital; HC, health center.

Emergency obstetric and newborn care (EmONC)

Antibiotics, anticonvulsants, and oxytocin were available in more than 68.9% of facilities both overall and across province or facility type (Table 3, Figure 3). Availability of newborn resuscitation and whether placenta removal, removal of retained products, assisted delivery, cesarean sections, and blood transfusions were performed in the past 3 months in facility are shown as percentages among health facilities where information was available. Both Kwilu and HC facilities were missing one facility for manual newborn resuscitation kits and cesarean sections. Information was missing for all groups on manual removal of the placenta, removal of retained placenta products, assisted deliveries, and blood transfusions. When information was available, GRH facilities had the highest frequency of availability of newborn ventilation kits (83.3%, n=10), cesarean sections (100%, n=12), and blood transfusions (100%, n=8). Manual removal of placenta took place in 82.5% (n=33) of all facilities and 50% (n=3) of GRH facilities.

Table 3. Emergency obstetric and neonatal care (EmONC) signal functions among 72 rural health facilities in the Democratic Republic of the Congo.

Signal FunctionsAllProvinceFacility type
Kwango (N=27)Kwilu (N=45)GRH (N=12)HC (N=60)
N (%)N (%)N (%)N (%)N (%)
Antibiotics available
    Yes60 (83.3)23 (85.2)37 (82.2)9 (75.0)51 (85.0)
    No12 (16.7)4 (14.8)8 (17.8)3 (25.0)9 (15.0)
Anticonvulsants available
    Yes54 (75.0)23 (85.2)31 (68.9)9 (75.0)45 (75.0)
    No18 (25.0)4 (14.8)14 (31.1)3 (25.0)15 (25.0)
Oxytocin available
    Yes62 (86.1)24 (88.9)38 (84.4)10 (83.3)52 (86.7)
    No10 (13.9)3 (11.1)7 (15.6)2 (16.7)8 (13.3)
Manual newborn resuscitation
kit
    Yes16 (22.2)7 (25.9)9 (20.45)10 (83.3)6 (10.2)
    No55 (76.4)20 (74.1)35 (79.5)2 (16.7)53(89.8)
    Missing10101
Manual removal of placenta
    Yes33 (82.5)2 (33.3)5 (15.2)3 (50.0)4 (12.1)
    No7 (17.5)4 (66.7)28 (84.8)3 (50.0)29 (87.9)
    Missing322112627
Removal of retained placenta
products
    Yes4 (10.8)2 (33.3)5 (15.2)2 (33.3)2 (6.5)
    No33 (89.2)4 (66.7)28 (84.8)4 (66.7)29 (93.5)
    Missing352112629
Assisted delivery
    Yes5 (8.3)3 (15.8)2 (6.5)3 (27.3)2 (4.8)
    No55 (91.7)16 (84.2)29 (93.5)8 (72.7)47 (95.9)
    Missing12814111
Cesarean section
    Yes35 (49.3)12 (44.4)20 (45.5)12 (100.0)23 (39.0)
    No36 (50.7)15 (55.6)24 (54.5)0 (0.0)36 (61.0)
    Missing1010 1
Woman received blood
transfusion
    Yes16 (35.6)6 (60.0)10 (28.6)8 (100.0)8 (21.6)
    No29 (64.4)4 (40.0)25 (71.4)0 (0.0)29 (78.4)
    Missing271710423

GRH, generalized reference hospital; HC, health center.

4828b09f-62c2-4eab-86a3-ad1b5374b6b4_figure3.gif

Figure 3.

The 7-9 EmONC signal functions for HC (A) and GRH (B) facilities.

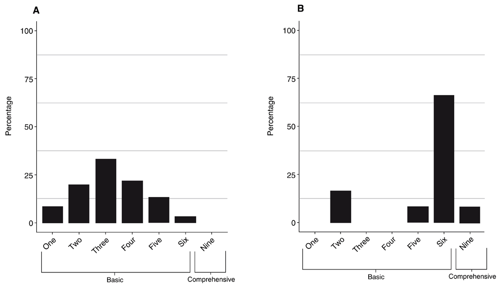
When the EmONC signal functions were summed, only one GRH facility was able to provide all nine CEmONC signal functions (Figure 4). Two-thirds (66.7%, n=8) of GRH facilities provide six signal functions. Among the facilities that provide six signal functions, all provide antibiotics, anticonvulsants, oxytocin, and cesarean sections (see Supplemental Table 6 for additional patterns of availability11). Among HC facilities, 74.7% were able to provide two to four signal functions. The most common signal functions that were not provided by the HC facilities were placenta removal, removal of retained products, cesarean sections, or blood transfusions. In these cases, signal functions were observed in low frequency and had high values of missing data (Table 3). For example, manual removal of the placenta was not observed in 29 (87.9%) of HC facilities where information was available and information on removal of retained placenta products was missing for 29 of a total 60 HC facilities.

4828b09f-62c2-4eab-86a3-ad1b5374b6b4_figure4.gif

Figure 4.

Sum of EmONC signal functions for HC (A) and GRH (B) facilities.

Discussion

The findings from the present study highlight some key profiles of the current facility conditions, routine obstetric and neonatal care practices, as well as availability and/or use of emergency obstetric and neonatal care (EmONC) among a sample of 72 rural health facilities in the Kwango and Kwilu provinces, DRC. EmONC indicators were developed to identify key factors that can help to reduce maternal and perinatal mortality. In general, the results of our baseline analysis show that facility conditions are poor and lack sufficient medicines and supplies. Few facilities are supplied with drinking water and the availability of electricity is variable. Despite these poor facility conditions, we observed that GRH and HC facilities in rural DRC have higher than expected proportions of the key 7-9 EmONC signal functions. While only one facility is providing the full capacity of EmONC care according to what is expected—one GRH facility is providing all nine EmONC signal functions—most GRH facilities are providing six EmONC signal functions. There is more of a range in the EmONC functions provided by HC facilities, with most providing between two and four signal functions out of an expected seven. Antibiotics, anticonvulsants, and oxytocin are available in high frequencies. Frequency of newborn resuscitation, placenta removal, removal of retained products, and assisted delivery were much lower. However, this may be attributed to the large number of missing data for placenta removal and removal of retained products as well as the missing supplies needed to perform each of these functions.

The current MNH providers’ skills, knowledge and attitude were evaluated by observing their routine practices during antenatal, labor, delivery, and postnatal care (Table 2). There is variability in the spread of the antenatal care indicators. For example, the distribution of blood pressure measures is positively skewed towards being observed in all antenatal care observations while HIV and anemia screening have bimodal distributions, with screening for HIV and anemia being largely never or always observed (data not shown). Therefore, the bivariate comparison results should be interpreted with some caution, considering the large degree of variability across facilities for antenatal care screening. Additionally, we found differences in screening rates both by province and facility type, with higher observed screening practices in the GRH compared to the HC facilities and no distinct pattern to screening by province. Our study design does not allow us to know which antenatal care visit we are observing (e.g., the first, the second, or the third). Given that HIV and syphilis testing are not expected to be performed at each antenatal care visit, the expected frequency is not 100%. However, we would expect that the frequency of HIV and syphilis screenings would be similar if both screening practices were integrated into health care practices. Our results show that there are differences in the frequency of syphilis and HIV screening, which suggests that these two screenings are not integrated into the health care system.

Basic components of labor and delivery care were observed in high frequencies (newborn dried immediately and thoroughly, spontaneous breathing assessed at birth, and cord clamped and cut within one to three minutes). However, components of labor and delivery that may require more knowledge were observed in lower frequencies. For example, the use of a partogram to assess the stage of labor was below 40.2% in all groups, except for in GRH facilities, where 69.2% of observed provider-patient pairs used a partogram to monitor labor and delivery. The infrastructure data shows that partograms were available in two-thirds of all facilities. This suggests that while partograms were available, they are not being used. Further, it was noted qualitatively by data collectors that partograms were not filled correctly or that providers did not use partograms correctly (data not shown). Similarly, the application of chlorohexidine to the umbilicus and dry cord care was observed in a low proportion of provider-patient pairs despite antiseptics being available in 79.2% of all facilities. Additionally, secondary care, such as the infant having skin-to-skin contact with the mother or frequency of postnatal care provided to the mother, have room for improvement. Overall, these findings provide the baseline information on MNH providers’ skills, knowledge, and attitude to evidence-based antenatal, labor and delivery, postnatal care, and other supportive care. The observed inconsistent and insufficient provisions of antenatal, labor, delivery, and postnatal care across province and health facilities clearly point out the needs for designing, developing, and implementing a clinical mentoring program aimed to improve quality of MNH care in the health facilities.

There were fewer differences in terms of facility conditions, obstetric and neonatal care practices, and availability and/or use of emergency of obstetric and neonatal care (EmONC) between Kwango and Kwilu provinces. As expected, we did find that GRHs, overall, had better facility conditions, obstetric and neonatal care, and availability of EmONC than HC facilities. Forceps and vacuum extractors were available in low frequencies overall, but the lowest frequency was observed in HC facilities. This may directly contribute to the lower rates of assisted deliveries in the past three months among HC facilities. If neither of the tools were available to assist with deliveries, then assisted deliveries were likely not performed. Comprehensive care is theoretically only available in GRH facilities. Cesarean sections took place in all the GRH facilities. Interestingly, cesarean sections were recorded in 39.0% (n=23) of HC facilities. There was more missing information on women’s receipt of blood transfusions. Among facilities where information was available, all GRH facilities performed blood transfusions (n=8) in the last three months. However, blood transfusions were noted in less than a quarter of HC facilities (21.6%, n=8). While we do not have indicators of quality of care, this data points to the fact that health care providers are attempting to provide a range of comprehensive care to patients.

The high frequency of cesarean sections in HC facilities is also interesting, considering that there is a difference in the availability of stitching materials, cesarean section kits, room for surgical intervention, and electricity in operating rooms by facility type. HC facilities have a lower frequency of both materials than GRH facilities. GRH facilities are structured to have doctors on staff to perform cesarean sections and blood transfusions. Our observations confirmed every GRH facility had a medical doctor to perform cesarean sections; a medical doctor was observed in 18 HC facilities. Among these 18 HC with a medical doctor, 13 HC facilities are providing cesarean sections, leaving ten facilities providing cesarean sections without a medical doctor on staff (data not shown). It may be that other staff (e.g., midwives or A1–A3 nurses) at the HC facilities are performing cesarean sections. Additional data is needed to better understand this relationship and its impact on maternal and neonatal mortality.

This study has provided a wealth of information on the current facility conditions and baseline data on MNH providers’ routine care practices in a rural area of the DRC. Further, the data was collected using the ODK system, which allowed for quick and accurate transfer of data from the rural facilities in the DRC to the Tulane Study Coordinating Center in New Orleans, USA. As such, we were able to avoid issues transferring paper data copies between multiple coordinators, issues of deciphering hand-written notes, or manual data entry errors. We provided data collectors with motorbikes, so they were able to move with more ease between health facilities independent of road conditions, which often worsened during the rainy season. We also used an extensive quality control system with people working at multiple points in the pipeline both in the DRC and in New Orleans, USA. Quality control was ensured throughout the baseline data collection process through a series of regular meetings; in addition to the regular skype meetings, the Kinshasa team met regularly with the DRC Ministry of Health and UNICEF members. This allowed for issues to be addressed as they arose, which enhanced our ability to collect data quickly and accurately.

Our study has several limitations. First, data collectors only observed health care providers’ routine MNH practices. While we have measures of availability and performance of evidence-based MNH care or interventions to patients based on EMEN criteria, we did not measure whether the health care providers performed the care correctly or sufficiently. For example, our data collectors observed whether a partogram was available and if it was used to monitor the progress of labor at the facility level but did not quantitatively assess if the partogram was filled correctly. While some qualitative observations were noted by data collectors regarding appropriate use, this was not done systematically. Additionally, our data collectors may not have had the expertise or capability to judge whether a partogram was filled appropriately. A second consequence of our observation approach is that our measures of care may be overestimations. Healthcare providers may be practicing a higher frequency or quality of care while being observed by the data collectors than what is provided normally. Second, information for the EmONC signal functions was pulled from two sources: the availability of medicines and supplies and review of the past 3-month delivery record. It was qualitatively noted by some data collectors that the three-month delivery record was not maintained adequately, which could have resulted in missing information or in underreporting of certain outcomes. Further, availability of medicine or tools used to implement emergency obstetric care does not mean that it was used nor if it was used appropriately13. These issues may contribute to the lower frequencies of newborn resuscitation kits, placenta removal, removal of retained products, and assisted deliveries. Third, our metric for this paper of availability of medicine or equipment doesn’t differentiate whether those medicines or drug are valid or expired and whether the equipment is functional or not (raw data shown in Supplementary Table 311). Finally, the facilities included in this report were not randomly selected but were selected based on administrative criteria for facilitating the implementation of the clinical mentoring program. The data presented in this report thus may not represent all facilities in the Kwango and Kwilu provinces. However, we do have data from the 48 facilities removed after phase one of the survey. Future research may explore the characteristics of all facilities where baseline data was collected for a more robust picture of rural health facilities in the DRC. Future research may also explore the capacity of HC facilities in providing comprehensive care (e.g., distance from GRH facilities or staffing).

Conclusion

Despite poor facility conditions and lack of supplies, GRH and HC facilities were able to provide essential maternal and neonatal care in the rural provinces of the Democratic Republic of the Congo. The observed inconsistent and insufficient provisions of antenatal, labor, delivery, and postnatal care across province and health facilities clearly point out the needs for developing and implementing a clinical mentoring program aimed to improve quality of MNH care in the health facilities. The findings from this baseline survey can be used to guide the provision of essential needs (e.g., equipment, medicine, structure) to the health facilities for better delivery of maternal and neonatal care.

Data availability

Underlying data

Source data examined in this study, available in xlsx, are available on OSF. DOI: http://doi.org/10.17605/OSF.IO/S5QJ711.

Extended data

Supplemental tables associated with this study are available on OSF. DOI: http://doi.org/10.17605/OSF.IO/S5QJ711.

Supplemental Table 1. Baseline facility condition assessment form.

Supplemental Table 2. Baseline questionnaire for antenatal, labor, delivery and postnatal care.

Supplemental Table 3. Three-month delivery record review and extraction form.

Supplemental Table 4. Availability and functionality of equipment, medicines, and supplies.

Supplemental Table 5. Data sources for EmONC signal functions.

Supplemental Table 6. Sum of EmONC signal functions by facility type with availability of key functions qualitatively identified.

Data are available under the terms of the Creative Commons Zero "No rights reserved" data waiver (CC0 1.0 Public domain dedication).

Comments on this article Comments (0)

Version 2
VERSION 2 PUBLISHED 05 Feb 2019
Comment
Author details Author details
Competing interests
Grant information
Copyright
Download
 
Export To
metrics
Views Downloads
Gates Open Research - -
PubMed Central
Data from PMC are received and updated monthly.
- -
Citations
CITE
how to cite this article
Carter R, Xiong X, Lusamba-Dikassa PS et al. Facility conditions, obstetric and neonatal care practices, and availability of emergency obstetric and neonatal care in 72 rural health facilities in the Democratic Republic of the Congo: A cross-sectional study [version 1; peer review: 1 approved, 1 approved with reservations]. Gates Open Res 2019, 3:13 (https://doi.org/10.12688/gatesopenres.12905.1)
NOTE: If applicable, it is important to ensure the information in square brackets after the title is included in all citations of this article.
track
receive updates on this article
Track an article to receive email alerts on any updates to this article.

Comments on this article Comments (0)

Version 2
VERSION 2 PUBLISHED 05 Feb 2019
Comment
Alongside their report, reviewers assign a status to the article:
Approved - the paper is scientifically sound in its current form and only minor, if any, improvements are suggested
Approved with reservations - A number of small changes, sometimes more significant revisions are required to address specific details and improve the papers academic merit.
Not approved - fundamental flaws in the paper seriously undermine the findings and conclusions

Are you a Gates-funded researcher?

If you are a previous or current Gates grant holder, sign up for information about developments, publishing and publications from Gates Open Research.

You must provide your first name
You must provide your last name
You must provide a valid email address
You must provide an institution.

Thank you!

We'll keep you updated on any major new updates to Gates Open Research

Sign In
If you've forgotten your password, please enter your email address below and we'll send you instructions on how to reset your password.

The email address should be the one you originally registered with F1000.

Email address not valid, please try again

You registered with F1000 via Google, so we cannot reset your password.

To sign in, please click here.

If you still need help with your Google account password, please click here.

You registered with F1000 via Facebook, so we cannot reset your password.

To sign in, please click here.

If you still need help with your Facebook account password, please click here.

Code not correct, please try again
Email us for further assistance.
Server error, please try again.